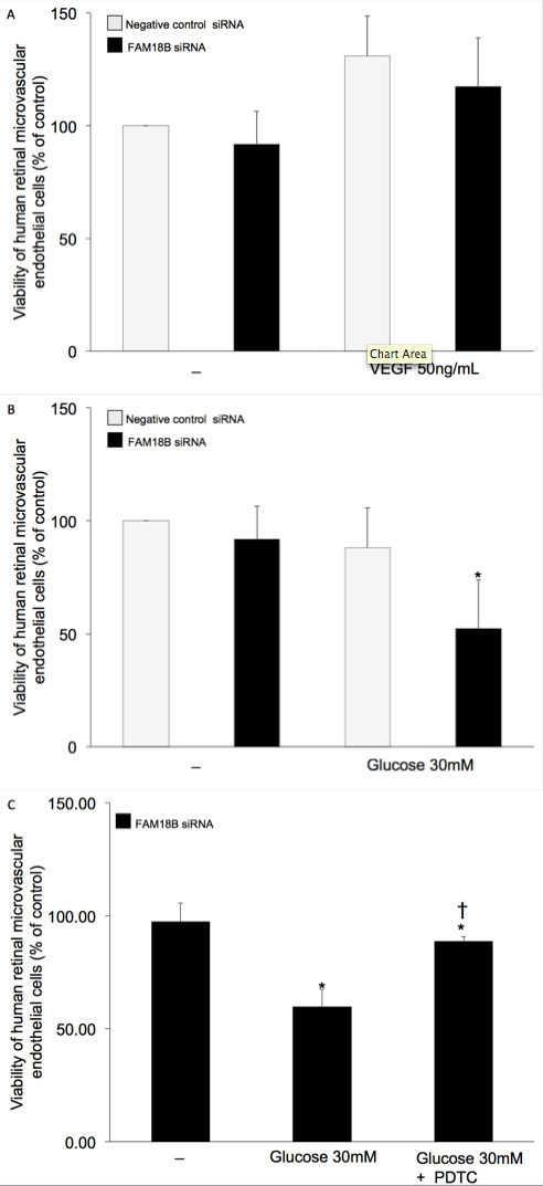
Figure 3. Effect of FAM18B knockdown on human retinal microvascular endothelial cell viability. The viability of human retinal microvascular endothelial
cells (HRMECs) in various treatment groups are expressed as the percent viability of HRMECs transfected with scrambled control
siRNA and treated with medium alone unless specified otherwise. A: Viability of HRMECs transfected with scrambled control siRNA or FAM18B siRNA treated with or without vascular endothelial growth factor (VEGF). B: Viability of HRMECs transfected with scrambled control siRNA or FAM18B siRNA treated with or without high glucose. C: Viability of HRMECs transfected with FAM18B siRNA treated with high glucose in the presence or absence pyrrolidine dithiocarbamate (PDTC). A–C: PDTC is a specific nuclear factor-kappa B (NF-κB) inhibitor. Data represented as mean±standard deviation (SD) (n=3×96-well
plates; four wells/plate for panels B and C and n=1×96 well plate; five wells/plate for panel A). * p value <0.05 compared to control cells treated with media alone. †p value <0.05 compared to FAM18B siRNA-transfected cells treated with high glucose.
