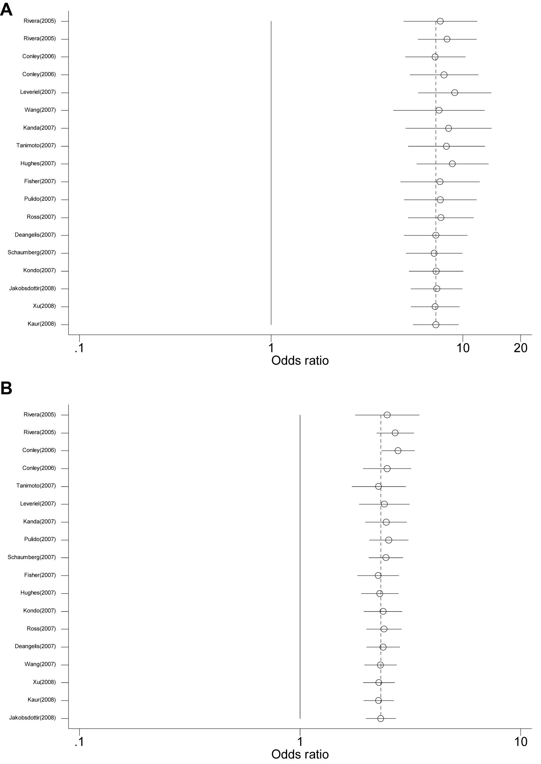
Figure 5 of Tong, Mol Vis 2010; 16:1958-1981.


Figure 5. Cumulative random-effects meta-analysis of homozygous (A: TT versus GG) and heterozygous (B: GT versus GG) genotypes of LOC387715/ARMS2 gene rs10490924 G→T polymorphism and age related macular degeneration (AMD). For study details, see Table 4.