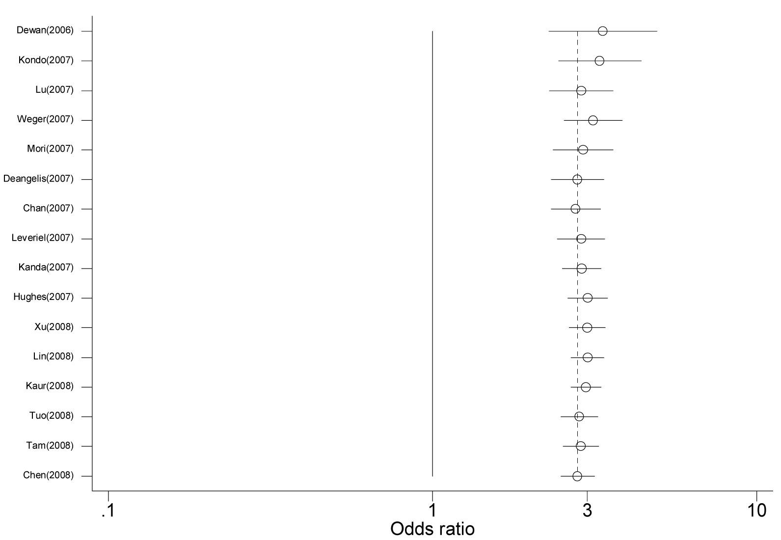
Figure 2 of Tong, Mol Vis 2010; 16:1958-1981.


Figure 2. Cumulative random-effects meta-analysis of allele (A versus G) of the HTRA1 gene rs11200638 G→A polymorphism and age related macular degeneration (AMD). For study details, see Table 3.