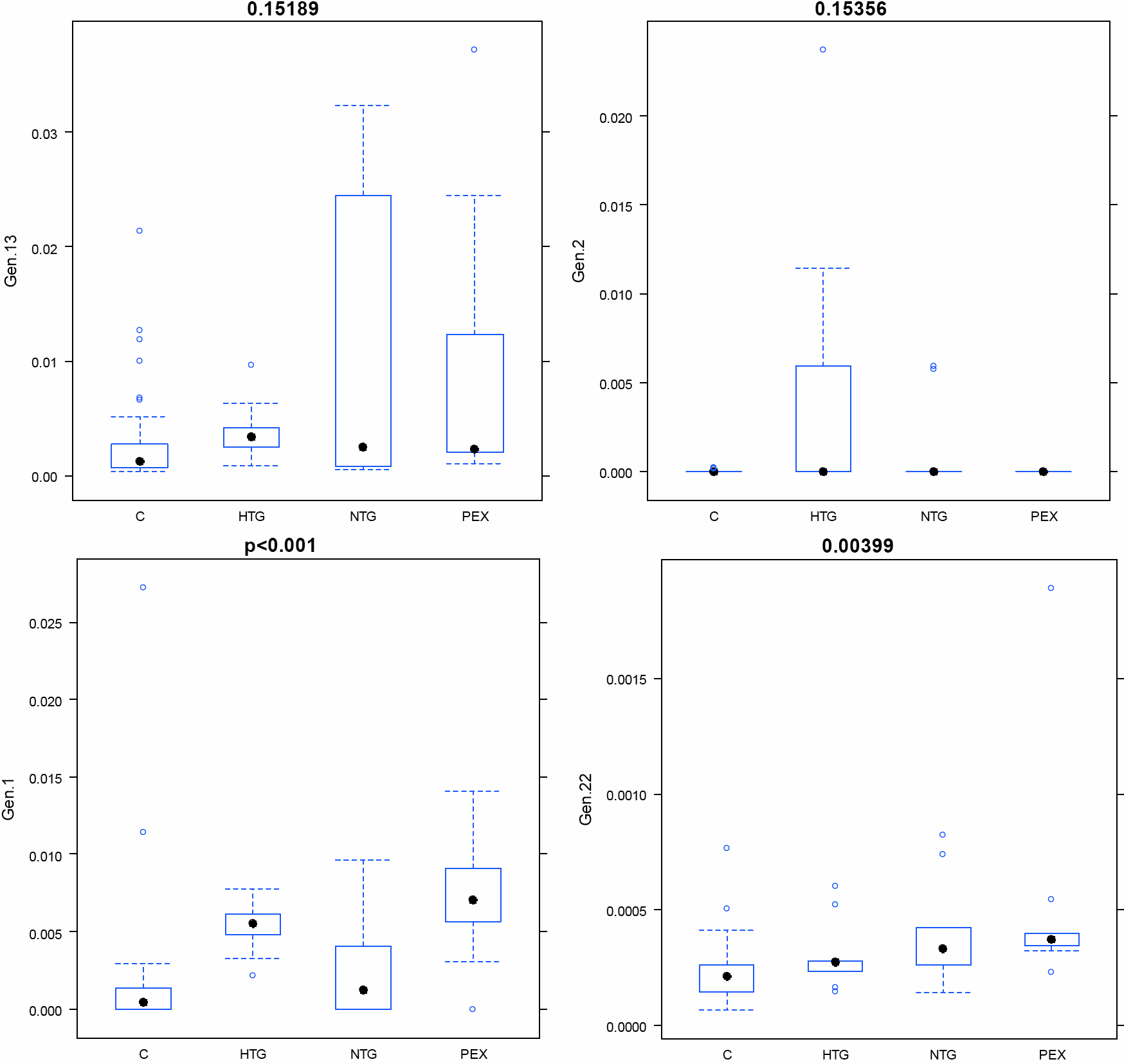
Figure 2 of Yeghiazaryan, Mol Vis 2009; 15:2339-2348.


Figure 2. Comparative real-time PCR. The measurements for the most stable alterations (see the “Expression array” images as given in Figure 1) were performed in glaucoma patients compared to controls. All measurements have been performed by a blind study. The names of the encrypted genes are following: the gene 1=P2Y (purinoceptor 7); the gene 2=ICAM 1 (intercellular adhesion molecule 1); the gene 13=Na+/Ca2+ EP1 (Na+/Ca2+ exchange protein 1); the gene 22=MT1-MMP (membrane type 1 matrix metalloproteinase).