Figure 3 of
Liang, Mol Vis 2000;
6:10-14.
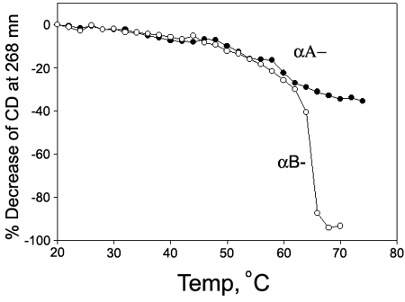
Figure 3. Near-UV CD intensity at 265 nm for aA- and aB-crystallins with increasing temperature
A decrease in near-UV CD intensity at 265 nm for aA- and aB-crystallins was observed with increasing temperature. At temperatures above 70 °C, aB-crystallin was observed to precipitate, while aA-crystallin remained in solution. The equilibrium time at each temperature was 30 min.
