Figure 2 of
Hawkins, Mol Vis 1999;
5:26.
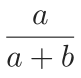
Figure 2. Calculation of Risk Ratio
Illustration of method of calculating crude risk ratios from cohort, follow-up, and other prospective studies.
Attribute or Exposure
at Inception
------------------------
Present Absent
Outcome (Exposed) (Unexposed)
---------- --------- -----------
Disease a b
(Case)
No disease c d
(Control)
|
Risk of disease when attribute present:

Risk of disease when attribute absent:

Risk Ratio:
