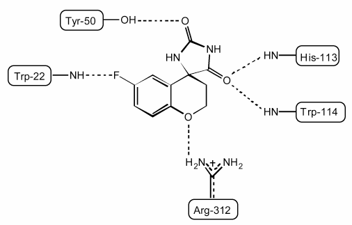
Figure 4 of
El-Kabbani, Mol Vis 1999;
5:20.
Figure 4. Chemical structure of sorbinil and the hydrogen bonding interactions with ALR1
With the exception of Arg 312 the sorbinil binding residues are conserved in ALR1 and ALR2. Hydrogen bonds between ALR1 and sorbinil are shown as dashed lines.
