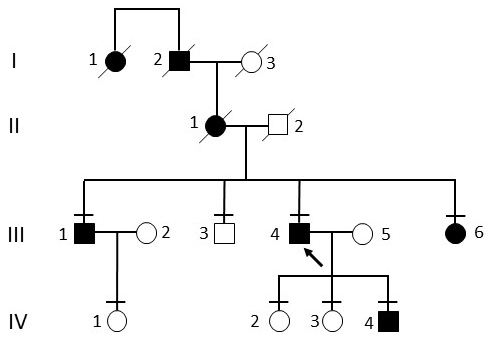
Figure 1. Four-generation family tree segregating autosomal dominant hearing loss and RP. The black symbols represent affected individuals
and white symbols represent unaffected individuals. The arrow indicates the proband patient. The line above the symbols denotes
family members who were examined. The first two generations were reported by proband as deaf-blind but were not examined or
genetically tested.
