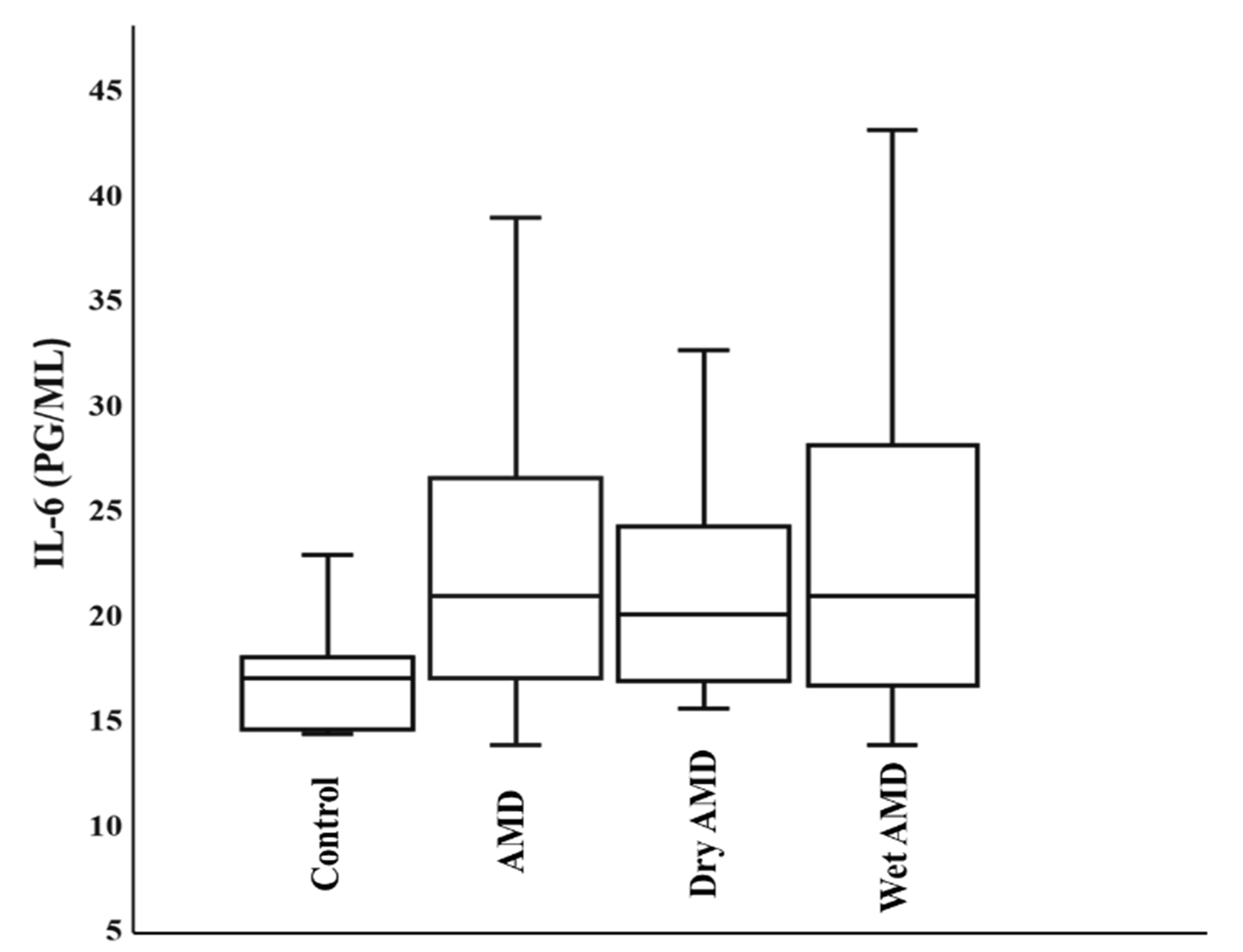
Figure 1 of Yadav, Mol Vis 2024; 30:434-446.


Figure 1. The box-and-whisker plot represents the serum levels of IL-6 in the controls and the patients. AMD: age-related macular degeneration; IL-6: interleukin-6.