Appendix 6 of Vendra, Mol Vis 2024; 30:37-48.


Appendix 6.

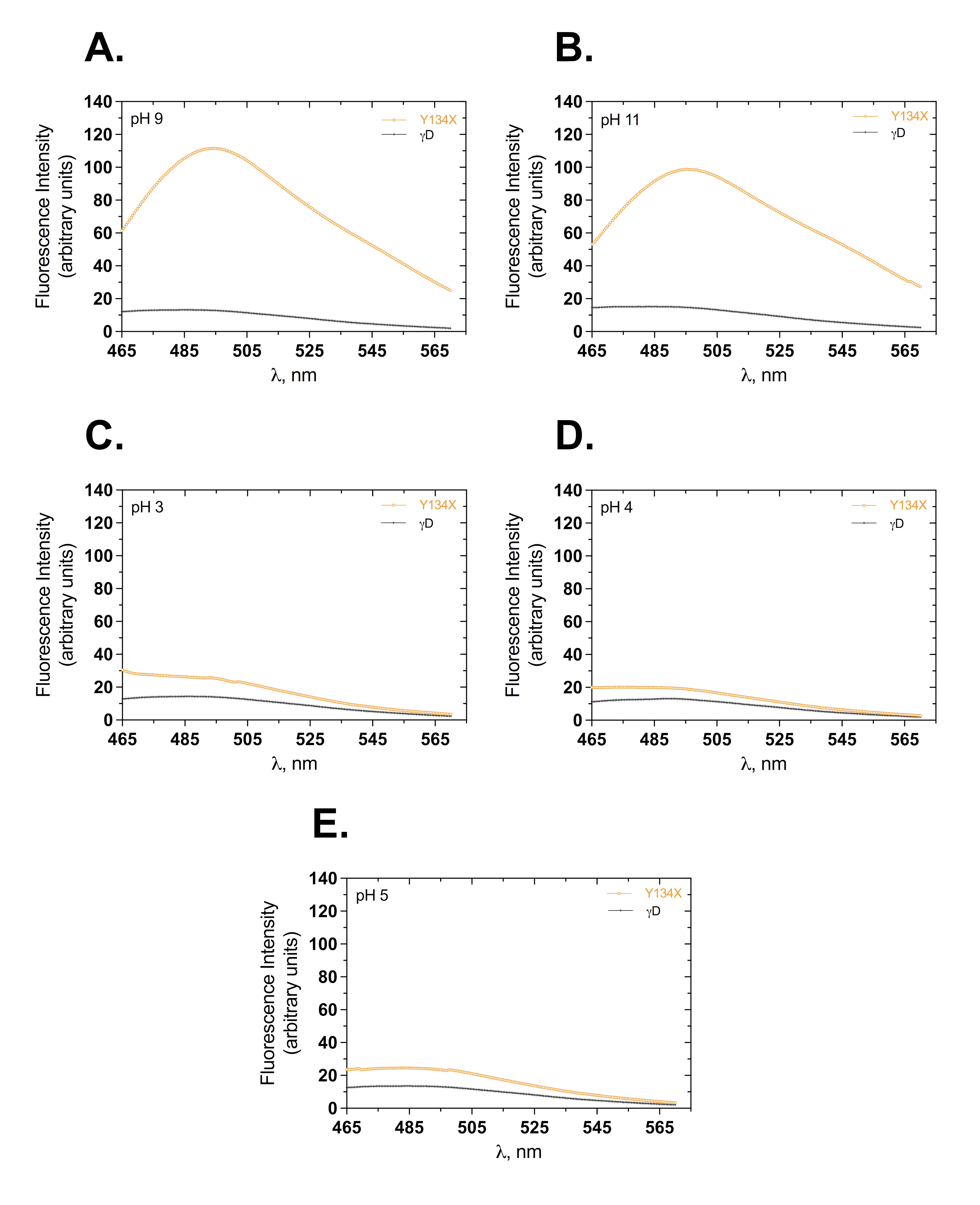
To access the data, click or select the words “Appendix 6.” Amyloid fibril detection of wild-type (black) and Y134X mutant human γD-crystallin (brown) using Thioflavin-T. Formation of amyloid fibrils at A) pH 9 B) pH 11 C) pH 3 D) pH 4 E) pH 5. Each spectrum is an average of 3 independent scans of 3 separate samples. Protein concentration: 9 μM; λex: 444 nm; Excitation and emission slits: 10 nm.