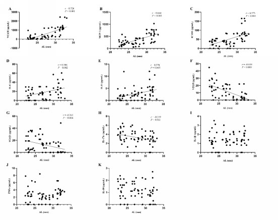
Figure 2. Relationships between levels of cytokines in the aqueous humor and AL. A-E: A positive relationship was found between AL and levels of VCAM (r=0.726, p<0.001), MCP-1(r=0.644, p<0.001), ICAM (r=0.573, p<0.001), IL-6(r=0.386, p=0.002), and IL-8(r=0.376, p=0.002). F-H: An inverse relationship was found between VEGF (r=-0.610, p<0.001), TGF-β1(r=-0.361, p=0.004), IL-17a (r=-0.319, p=0.011), and AL. I-K: No correlation was found between IL-1β, TNF-α, and IL-10 and AL (p>0.05).
