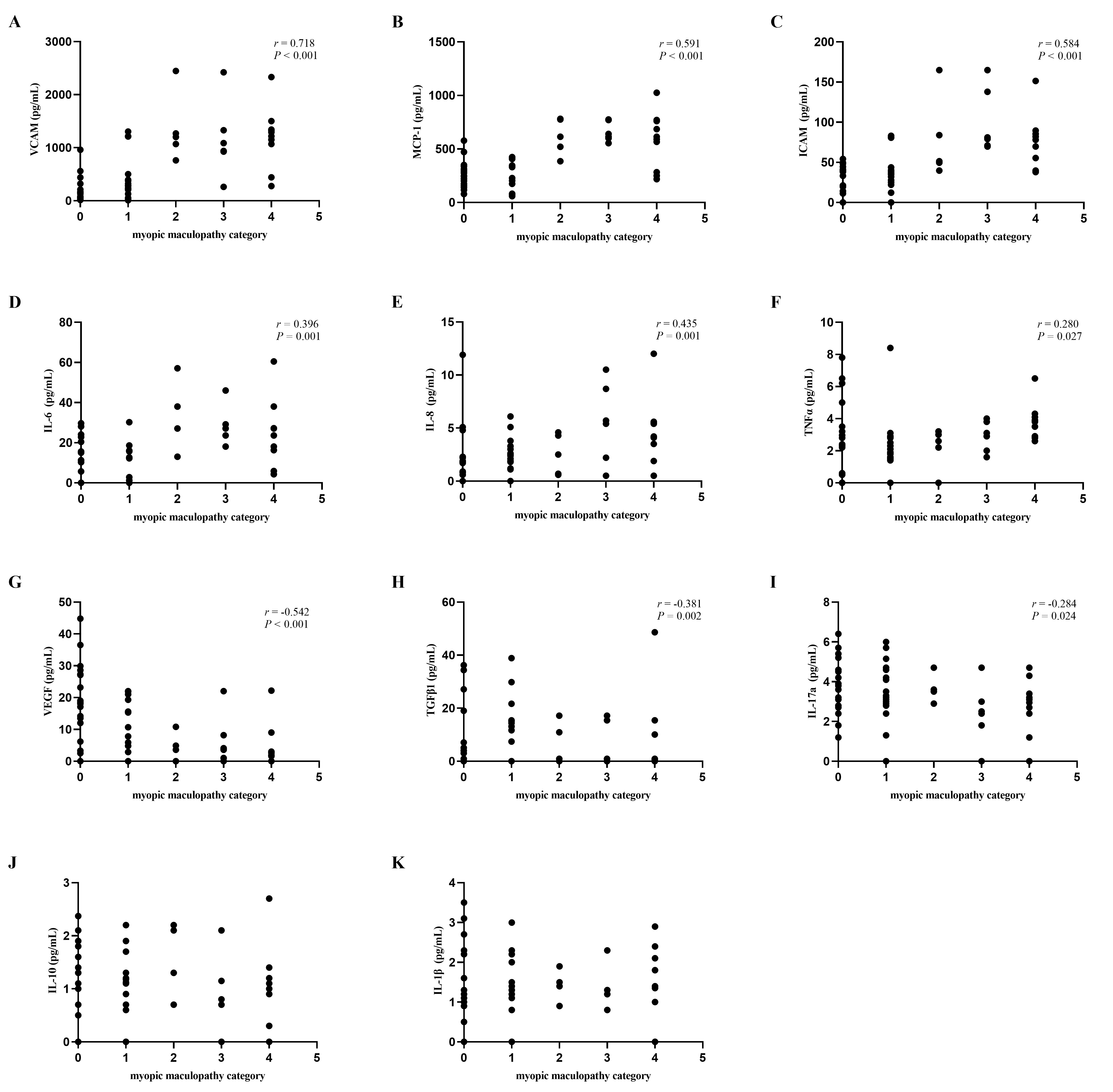
Figure 1. Correlation between cytokine levels in aqueous humor and myopic maculopathy categories. A-F: A positive correlation was shown between myopic maculopathy categories and levels of VCAM (r=0.718, p<0.001), MCP-1(r=0.591, p<0.001), ICAM (r=0.584, p<0.001), IL-6(r=0.396, p=0.001), IL-8(r=0.435, p=0.001), and TNF-α (r=0.280, p=0.027). (G-I) An inverse correlation was observed between VEGF (r=-0.542, p<0.001), TGF-β1(r=-0.381, p=0.002), and IL-17a (r=-0.284, p=0.024) and myopic maculopathy categories. J-K: No correlation was found between IL-1β and IL-10 and myopic maculopathy categories (p>0.05).
