Figure 1 of Santos, Mol Vis 2024; 30:279-288.


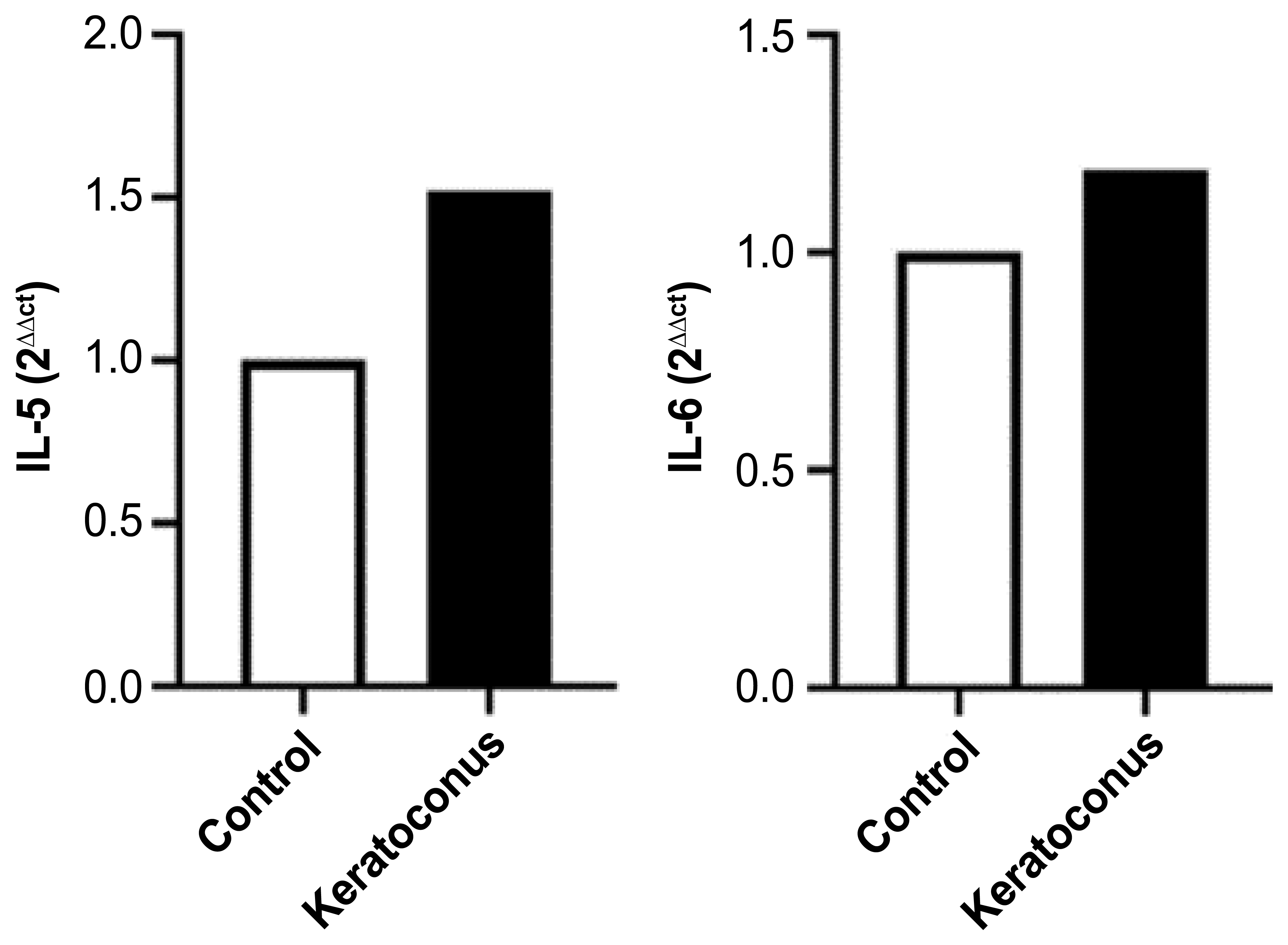
Figure 1. Bar graph demonstrating IL-5 and IL-6 gene expression in corneal epithelial cells from the keratoconus and control groups.