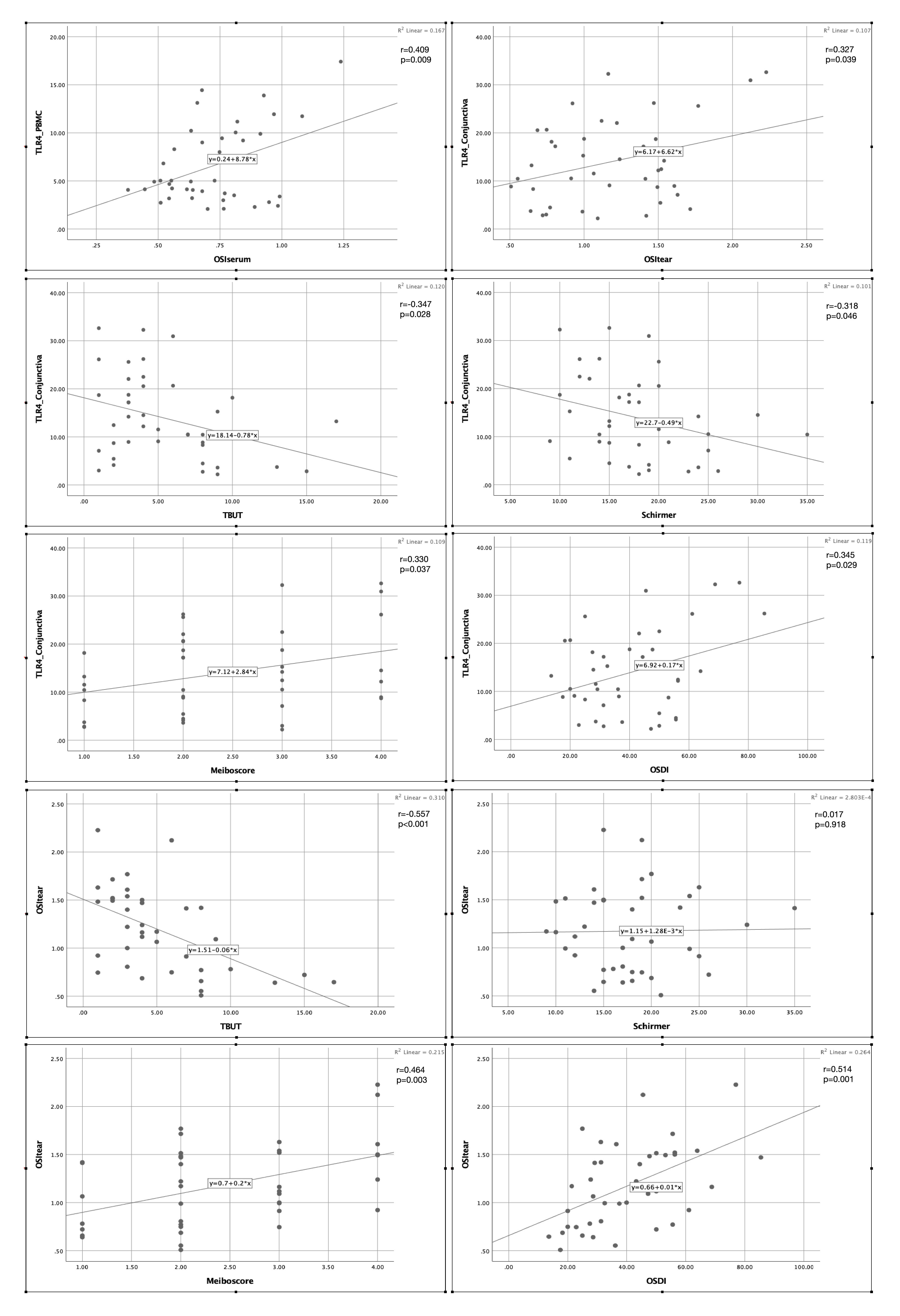
Figure 3. Correlation of TLR-4 levels with OSI levels and ocular surface parameters. Significant positive correlations were found between
conjunctival epithelium TLR-4, tear OSI, and meiboscore and between conjunctival epithelium TLR-4, tear OSI, and OSDI score,
whereas negative correlations were observed between conjunctival epithelium TLR-4, tear OSI, and TBUT and between conjunctival
epithelium TLR-4 and Schirmer (p < 0.05). No correlation was noted between tear OSI and Schirmer (p = 0.92).
