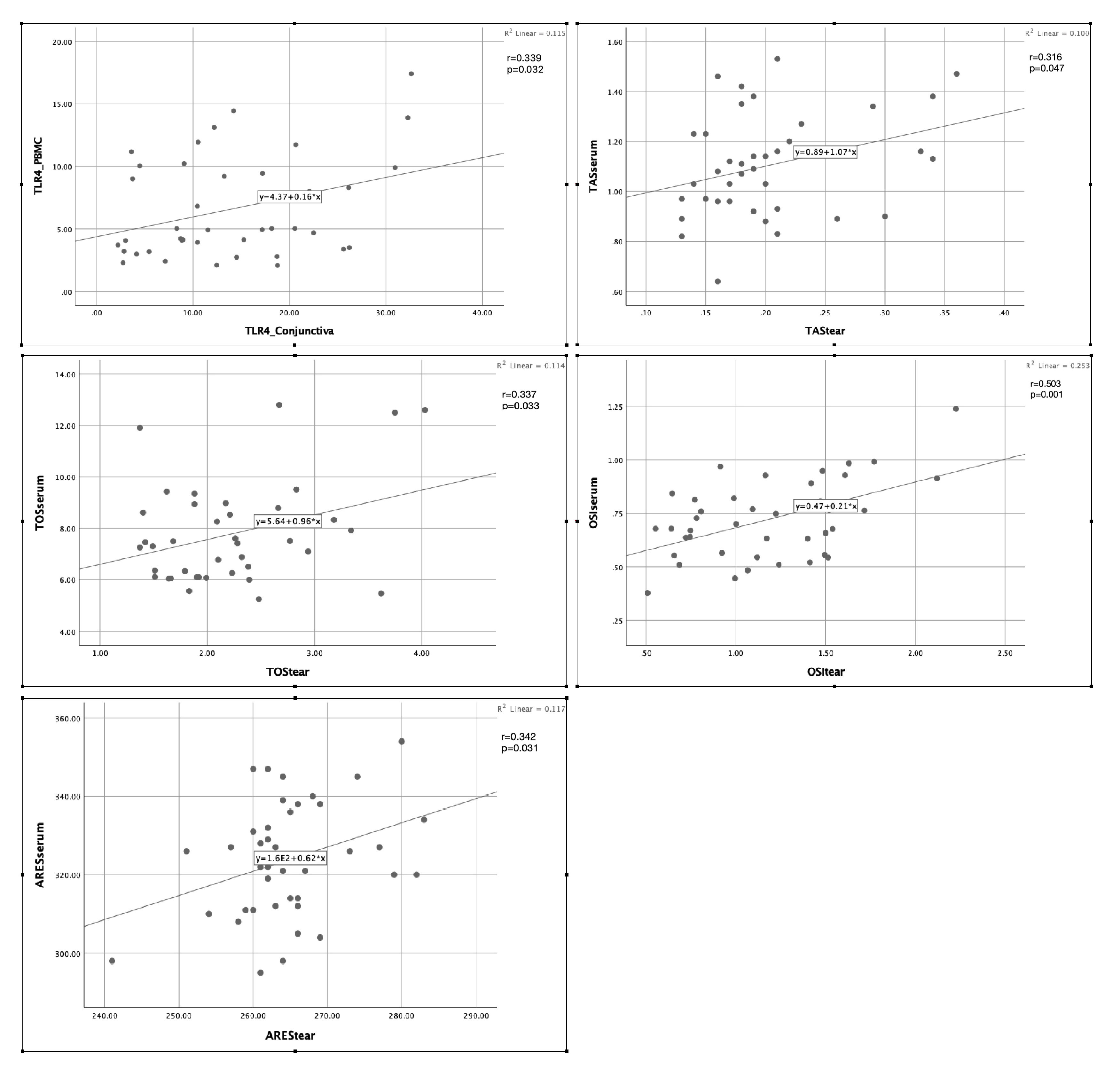
Figure 2. Correlation of TLR-4, TAS, TOS, OSI, and ARE levels between ocular and blood samples. Significant positive correlations were
found between conjunctival epithelium and PBMC TLR-4 levels and between serum and tear TAS, TOS, OSI, and ARE levels of patients
with OR (p < 0.05).
