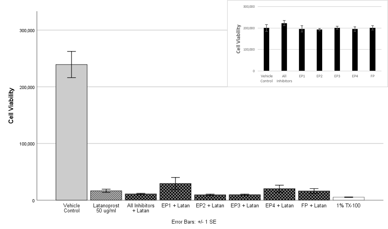
Figure 3 of Ziemanski, Mol Vis 2023; 29:289-305.


Figure 3. HMGECs were differentiated for 48 h, pre-treated with receptor inhibitors for 30 min, and exposed to latanoprost 50 µg/ml for 3 h, as depicted in Figure 2. Treatment with receptor inhibitors did not prevent latanoprost-induced cell death, suggesting that latanoprost’s toxic effects on HMGECs at high concentrations are due to EP- and FP-independent mechanisms. There were nine replicates per condition. Inset: Receptor inhibition alone—in the absence of a latanoprost challenge—had no effect on cell viability, thereby confirming that latanoprost is the toxic agent. TX100: Triton-X 100 positive control; Latan: latanoprost.