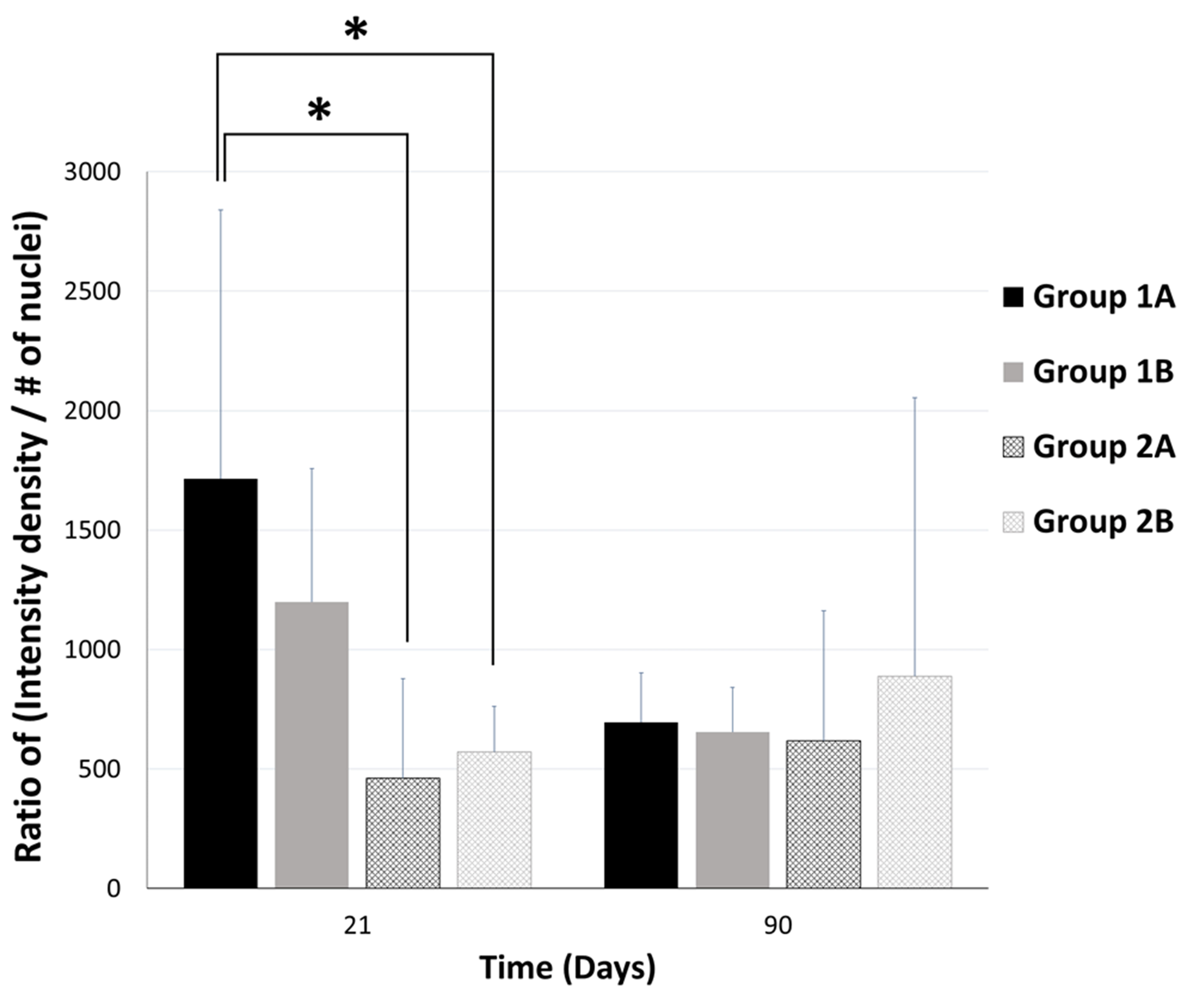
Figure 6. Intensity (intensity/mm2) of the α-SMA immunofluorescence over the number of nuclei ± standard deviation in all groups at both day 21 and day 90 time
points. Group 1A corneas had a significantly higher α-SMA immunofluorescence than had Groups 2A and 2B corneas at day 21,
but they were similar by day 90. No significant differences were observed between any other groups at either time point. *
p <0.05, two-way ANOVA followed by Sidak’s multiple comparisons test).
