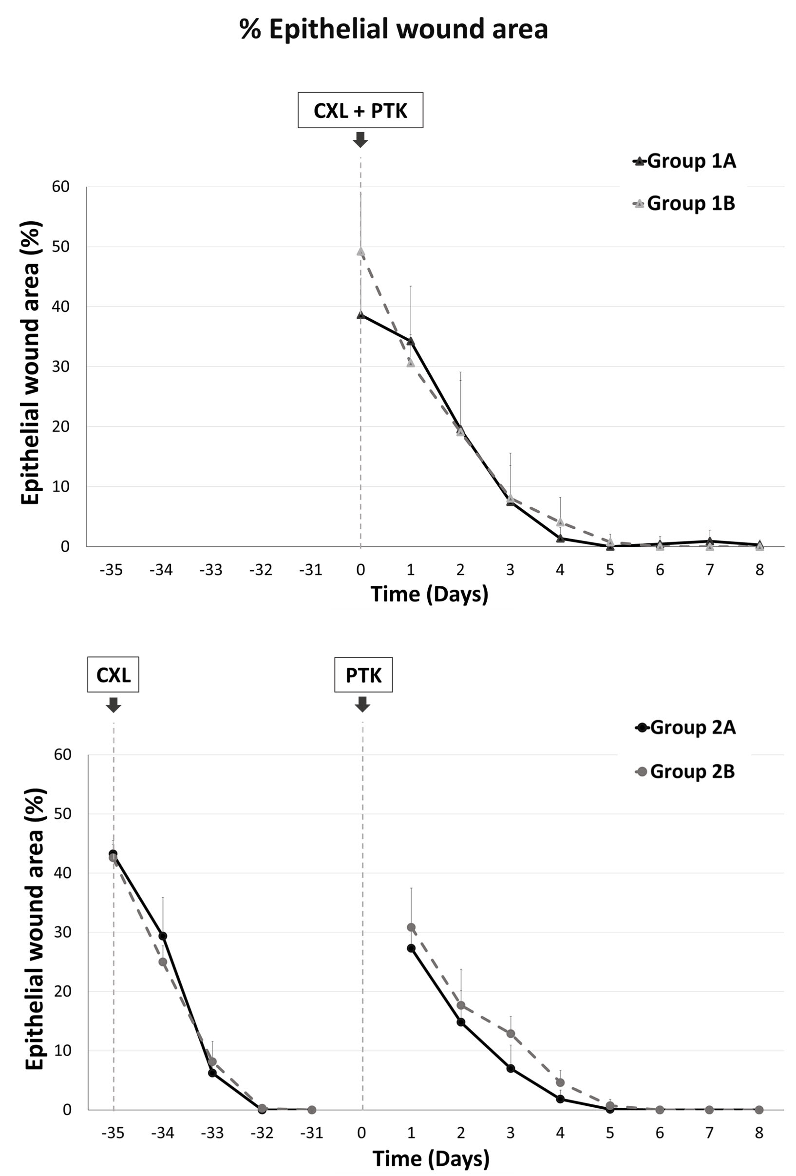
Figure 2 of Moore, Mol Vis 2023; 29:102-116.


Figure 2. Percentage epithelial wound area showed no significant differences between groups. P = 0.33, repeated measure two-way ANOVA followed by Tukey’s multiple comparisons test.