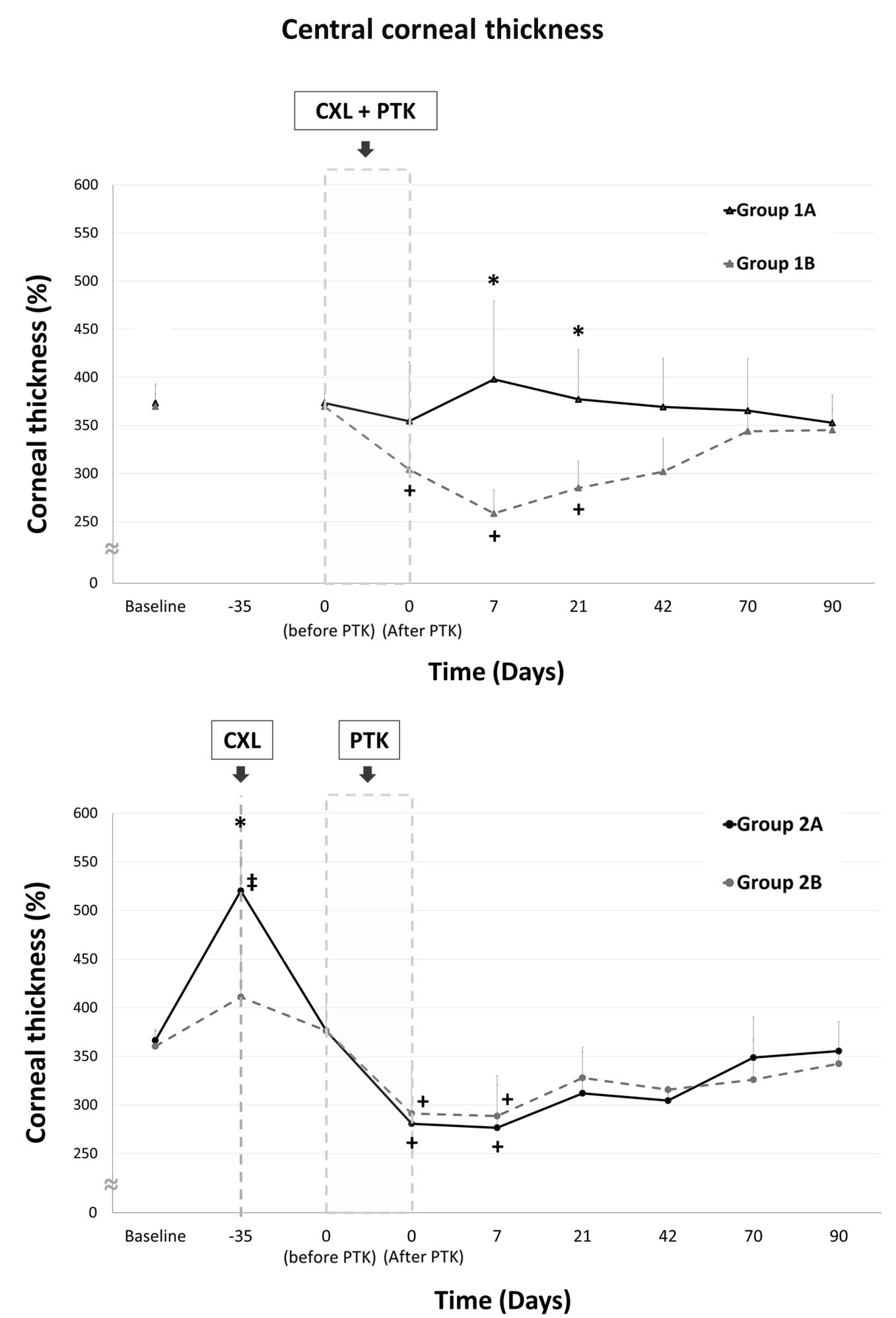
Figure 1. Central corneal thickness (total - CCT) as a function of time. CCT was transiently increased after CXL in both groups. The
CCT after CXL was significantly (*) thicker than in controls in both Groups 1 and 2 at the indicated time points. The CCT
was significantly increased from the baseline in Group 2A after the CXL (‡) and significantly decreased from the baseline
in Groups 1B, 2A, and 2B after the PTK (+). P <0.05, all statistics conducted with the repeated measure two-way ANOVA followed
by Sidak’s multiple comparisons test.
