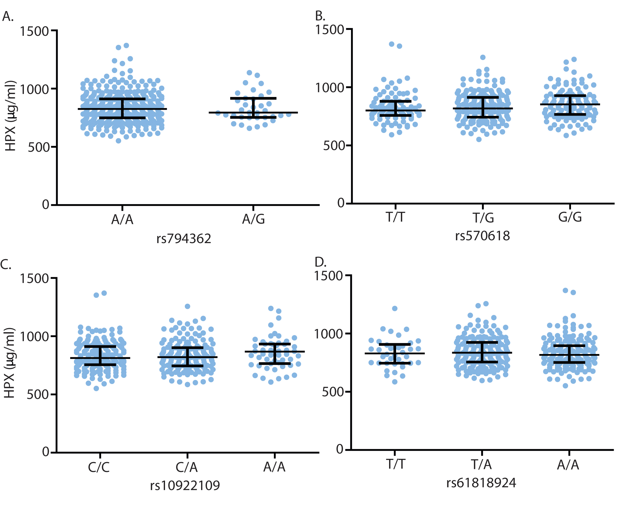
Figure 4 of Lauwen, Mol Vis 2022; 28:536-543.


Figure 4. Hemopexin (HPX) levels in the genotype groups of variants in the CFH locus found to be associated with age-related macular degeneration (AMD) [3]. Four AMD-associated variants were analyzed: rs794362 (A), a proxy for rs187328863; rs570618 (B); rs10922109 (C); and rs61818924 (D), a proxy for rs61818925. Bars represent median values, and whiskers represent interquartile ranges.