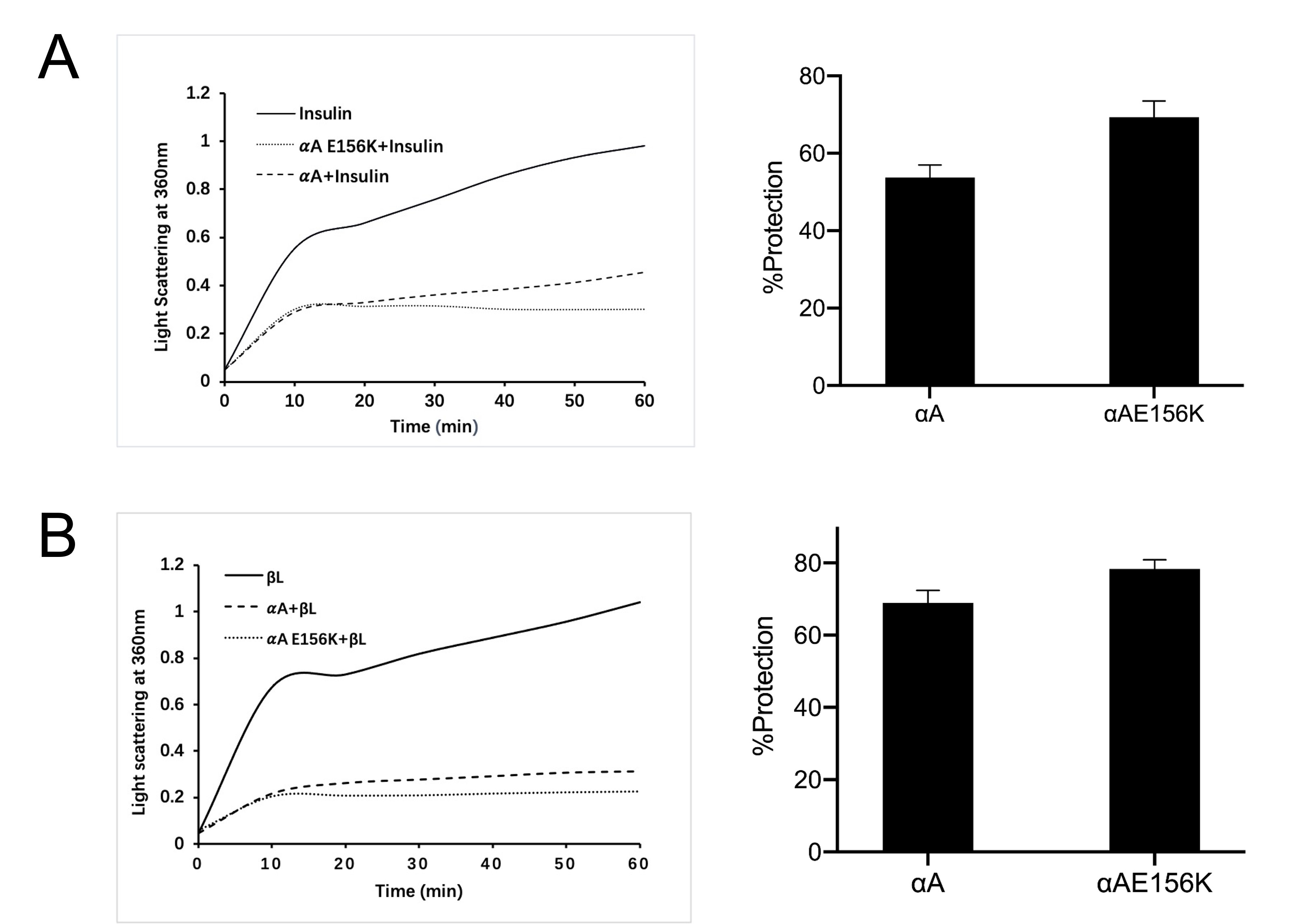
Figure 7 of Zhao, Mol Vis 2022; 28:317-330.


Figure 7. Chaperone-like activity of E156K mutant in CRYAA compared to wild-type CRYAA. A: DTT-induced aggregation of insulin. B: heat-induced aggregation of βL-crystallin.