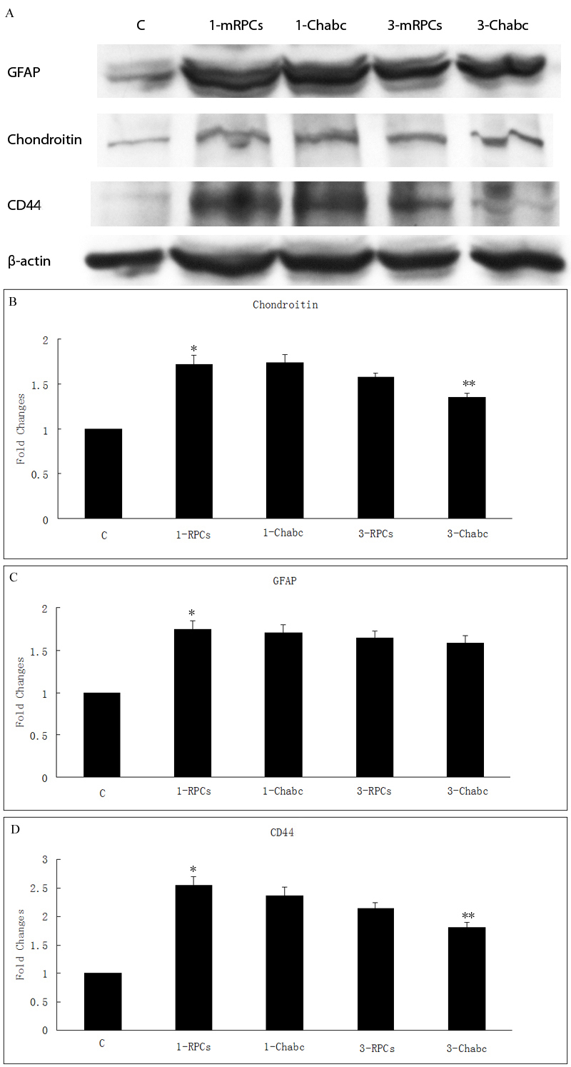
Figure 4. Western blot analyses for glial barriers protein expression after transplantation. Representative western blots and corresponding
densitometric analyses of GFAP, chondroitin and CD44 (n=5). Injection induced chondroitin, CD44 and GFAP up-regulation (*P<0.05).
The expression of chondroitin and CD44 was lower in the chondrotinase-treated group compared to mRPCs alone transplanted group
3 weeks after transplantation (**P<0.05). Data were represented as mean ± SD. Error bars: SD. P<0.05 was considered significant.
Abbreviations: C: control, 1-RPCs: 1w post-transplantation of mRPCs, 1-Chabc: 1w posttransplantation of mRPCs and chondroitinase
ABC, 3-RPCs: 3w post-transplantation of mRPCs, 3-Chabc: 3w post-transplantation of mRPCs and chondroitinase ABC.
