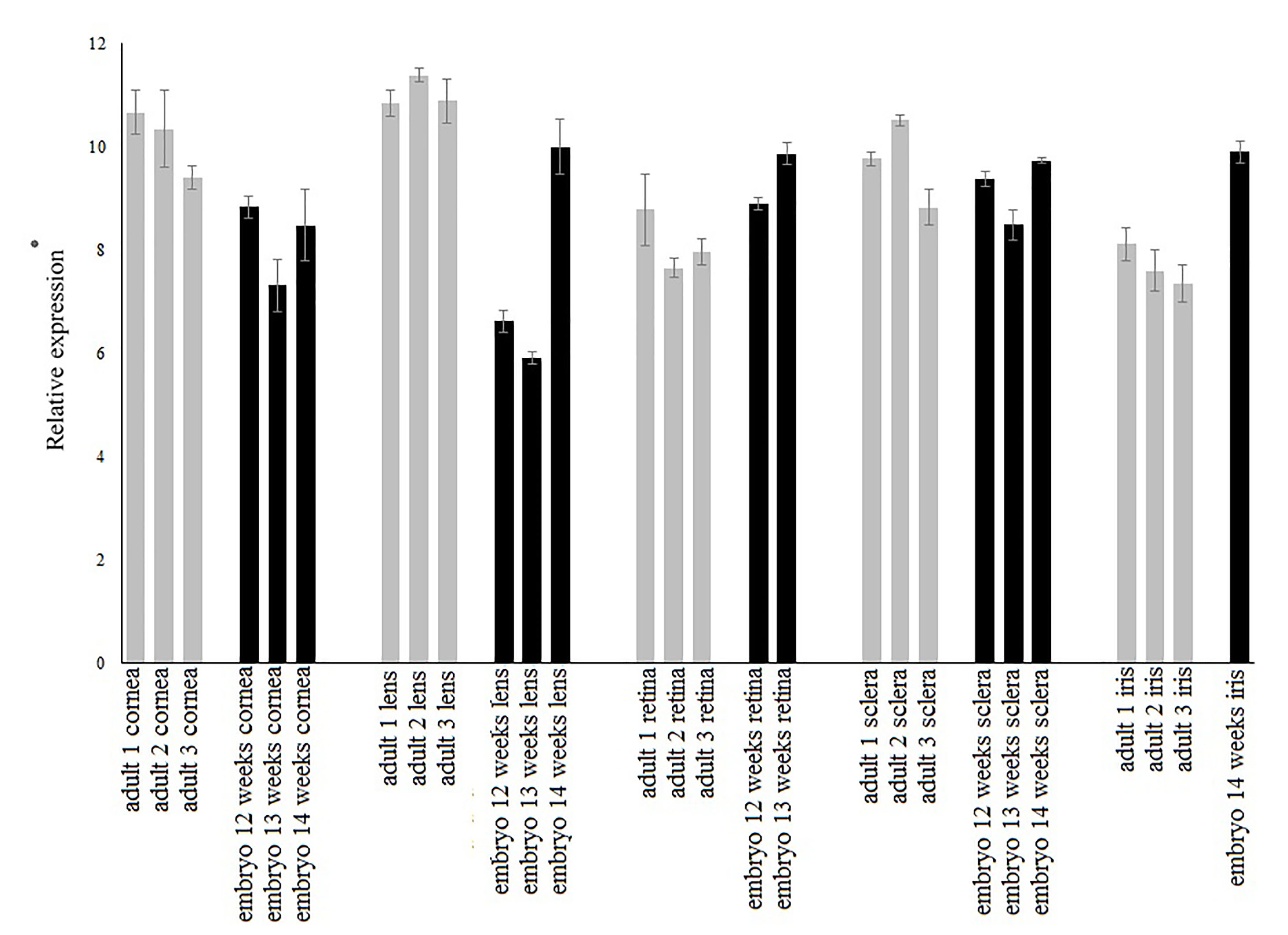
Figure 4. Expression of DOP1B in adult and embryonic ocular tissues as assessed with real-time PCR. Relative expression levels are presented as normalized
to glyceraldehyde-3-phosphate dehydrogenase (GAPDH) expression. The average threshold cycle (CT) of GAPDH was 16.21. The expression of DOP1B was assessed in the cornea, lens, retina, sclera, and iris tissues of three adult men and three embryos. Standard deviations
are shown.
