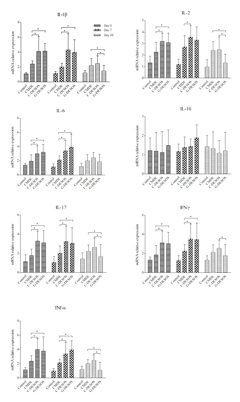
Figure 2. Expression of the cytokines in the conjunctiva. IL-1 β, IL-2, IL-6, IL-17, TNF-α, and IFN- γ increased dramatically in the
C-DESOS and G-DESOS groups compared to the CMDE and control groups (p=0.0264). These cytokines decreased significantly in
the G-DESOS group after glucocorticoid treatment but not in the C-DESSD group. However, there were no significant differences
in IL-10 among the groups (p=0.6102).
