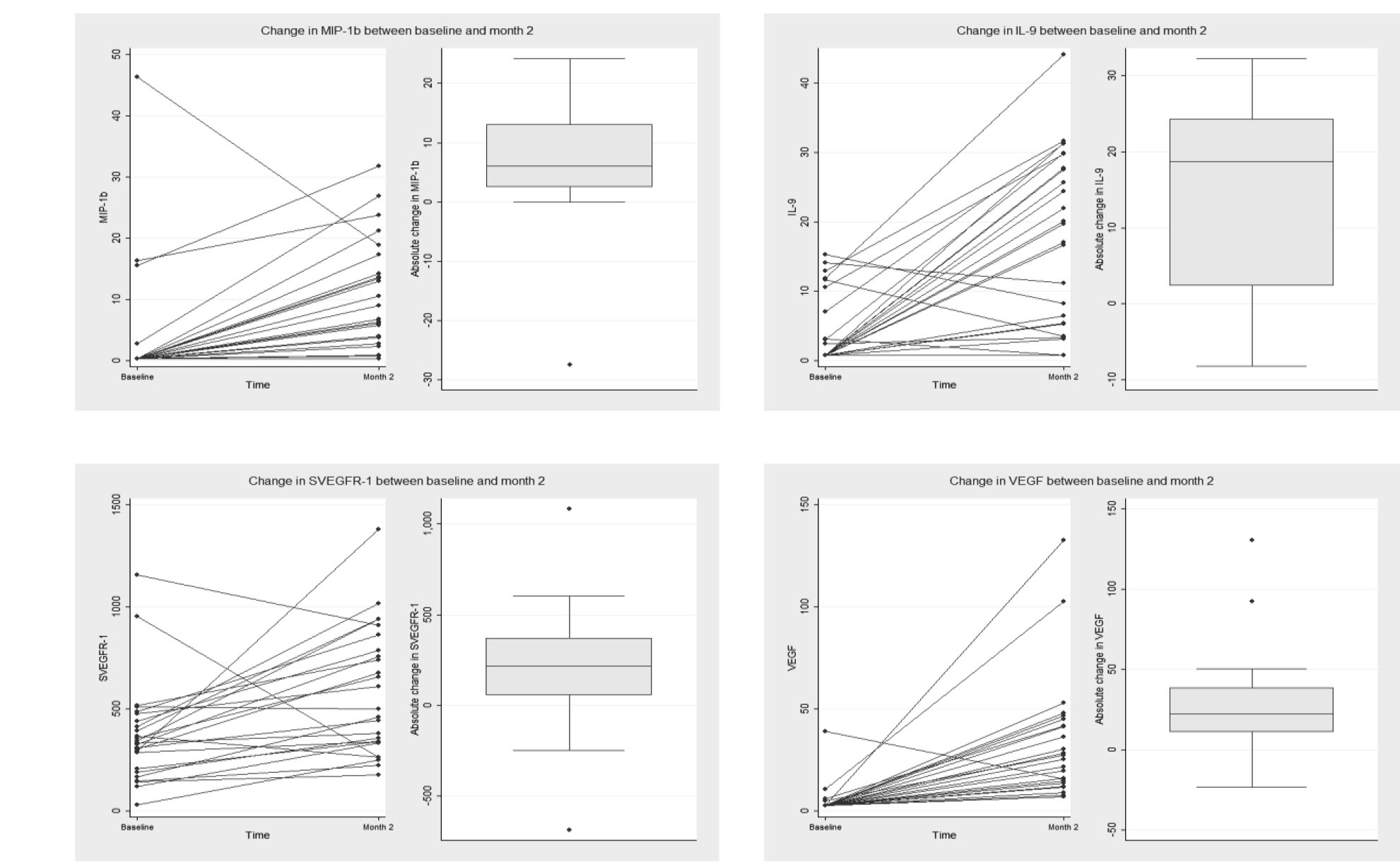
Figure 2 of Gnanasekaran, Mol Vis 2020; 26:246-256.


Figure 2. Serum cytokine concentrations of inflammatory and angiogenic cytokines before and after two intravitreal ranibizumab injections in eyes with diabetic macular edema.