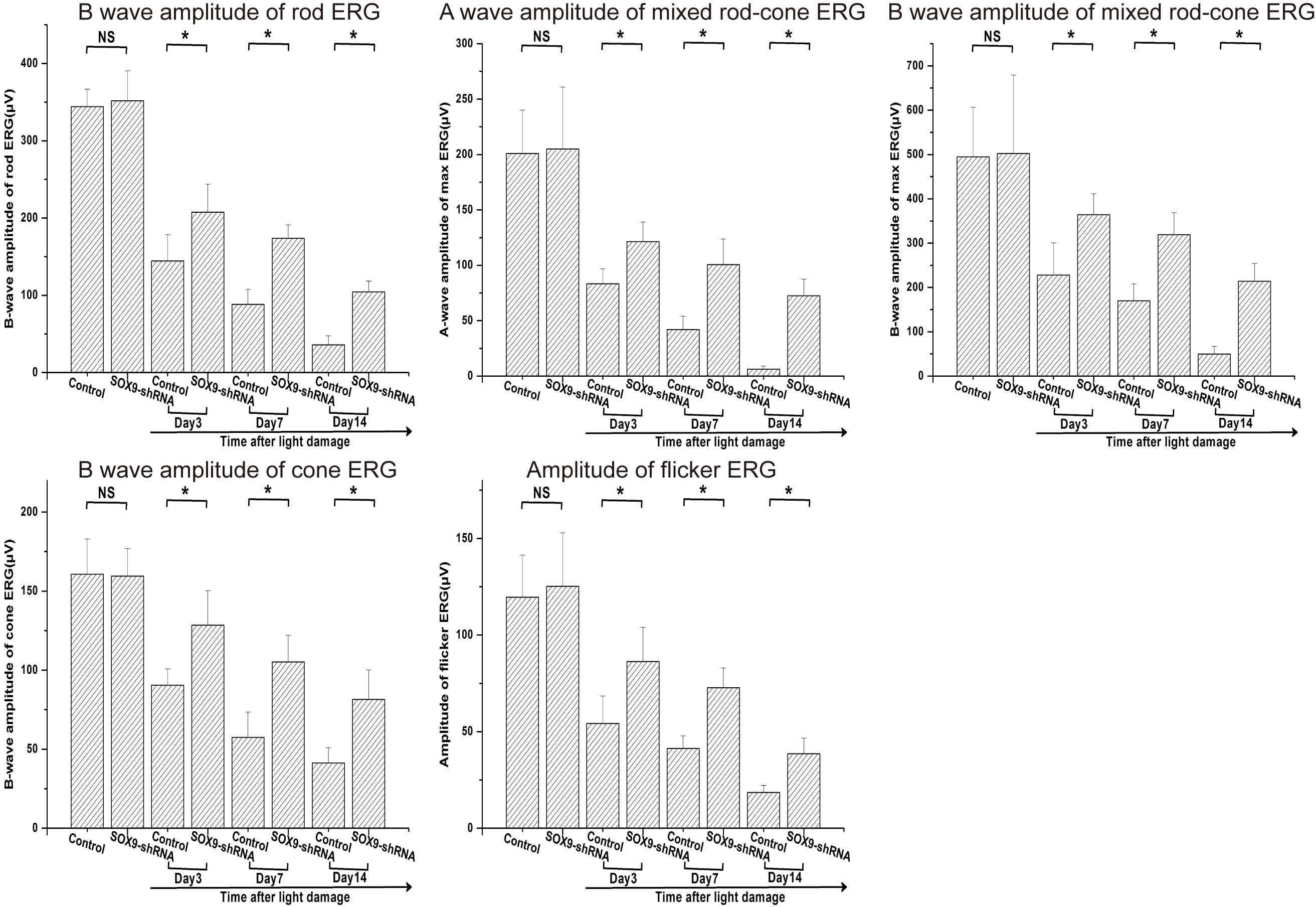
Figure 4. The Sox9 knockdown preserved retinal function as measured by ERG. The Sox9 knockdown significantly preserved amplitudes of
ERG waves in the Sox9-shRNA group compared with the control on days 3, 7, and 14 after light expose. Mean ± SD (n = 4), t test, *p<0.05.
