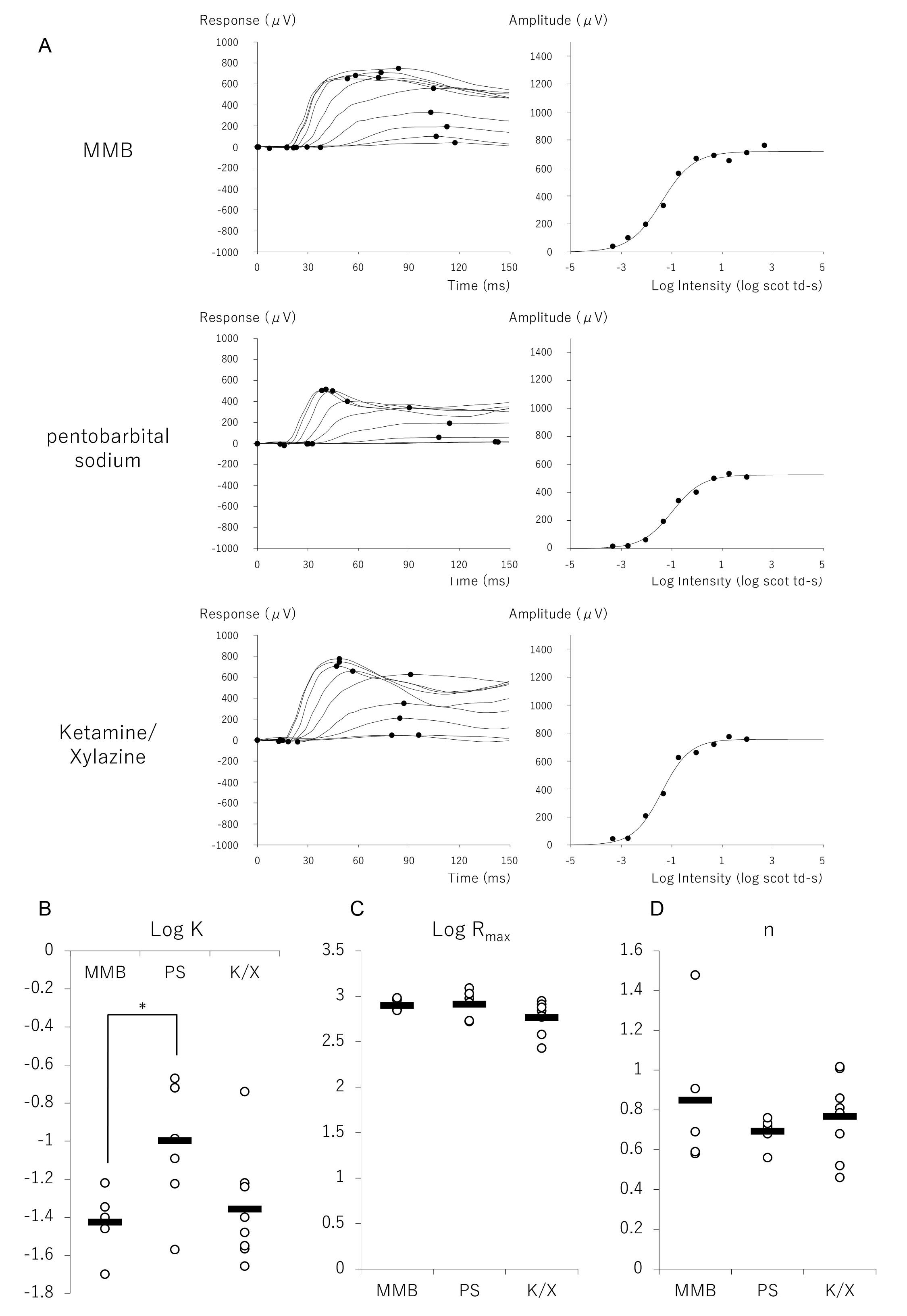
Figure 3. Fitting of dark-adapted ERG b-waves. A: Representative b-wave fitting waveforms of midazolam, medetomidine, and butorphanol tartrate (MMB), pentobarbital sodium,
and ketamine/xylazine (KX). The log light intensity at half maximum amplitude (K), maximum amplitude (Rmax), log Rmax, and n parameters of each group are shown in B, C, and D, respectively. B: Note that the K of the mice administered pentobarbital sodium was larger than that of the mice administered MMB. Statistically significant
differences are indicated by * for p<0.05 using one-way factorial ANOVA (ANOVA) followed by Tukey’s test.
