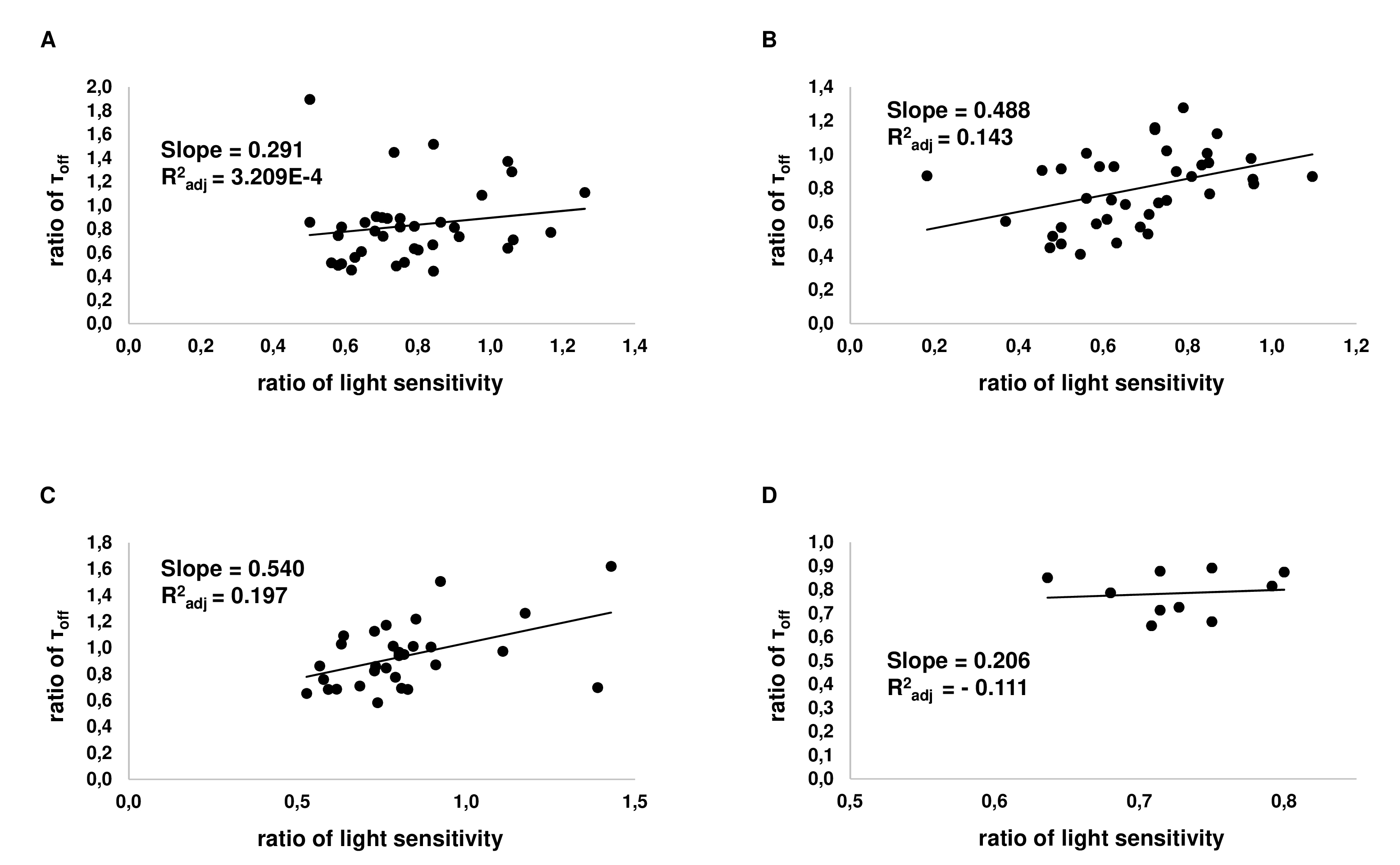
Figure 7. Correlation of changes of light sensitivity and the time of photoresponse turn off in individual cells. On the Х-axis, the
relative sensitivity of a cell to light is plotted, while the Y-axis shows the relative turn-off time constant of a rod. Each
point represents one cell. A: Correlation graph for dopamine (at 0.1–50 µM; n = 37). B: Correlation graph for D1R agonist SKF-38393 (at 0.1–50 µM; n = 38). C: Correlation graph for D2R agonist quinpirole (at 2.5–50 µM; n = 30). D: Correlation graph for D1–D2 receptor agonist SKF-83959 (at 50 µM; n = 10).
