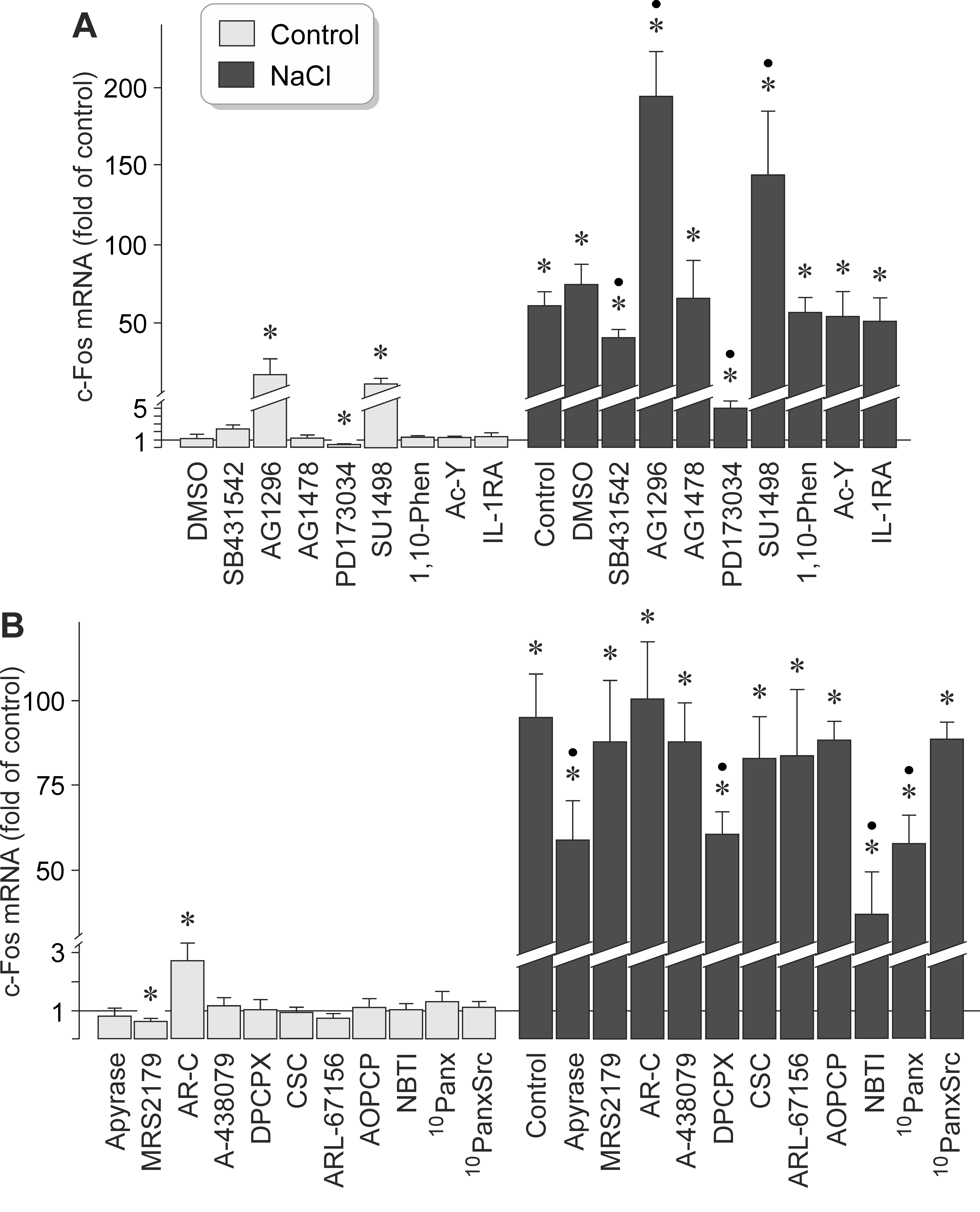
Figure 6. Receptor-mediated signaling involved in mediating NaCl-induced expression of the c-Fos gene in RPE cells. The level of c-Fos
mRNA was determined with real-time reverse transcription (RT)–PCR analysis in cells cultured for 2 h in iso- (control) and
hyperosmotic (+ 100 mM NaCl) media, and is expressed as a fold of the unstimulated control. A: The following inhibitors of receptor kinases were tested: the inhibitor of transforming growth factor-β1 (TGF-β1) superfamily
activin receptor-like kinase receptors, SB431542 (10 µM), the inhibitor of the platelet-derived growth factor-BB (PDGF) receptor
tyrosine kinase, AG1296 (10 µM), the blocker of the epidermal growth factor (EGF) receptor tyrosine kinase, AG1478 (600 nM),
the inhibitor of the fibroblast growth factor (FGF) receptor kinase, PD173074 (500 nM), and the blocker of vascular endothelial
growth factor (VEGF) receptor-2, SU1498 (10 µM). In addition, the broad-spectrum matrix metalloproteinase inhibitor 1,10-phenanthroline
(1,10-Phen; 10 µM), the caspase-1 inhibitor Ac-YVAD-CMK (Ac-Y; 500 nM), and a recombinant human IL-1 receptor antagonist (IL-1RA;
1 µg/ml) were tested. Vehicle control was made with dimethyl sulfoxide (DMSO; 1:1,000). B: The following compounds were tested: the ATP/ADP phosphohydrolase apyrase (10 U/ml), the P2Y1 receptor antagonist MRS2179 (30 µM), the P2Y2 receptor antagonist AR-C 118925XX (AR-C; 10 µM), the P2X7 receptor antagonist A-438079 (50 nM), the adenosine A1 receptor antagonist DPCPX (50 nM), the adenosine A2A receptor antagonist CSC (200 nM), the ecto-ATPase inhibitor ARL-67156 (50 µM), the ectonucleotidase inhibitor AOPCP (250
µM), the antagonist of nucleoside transporters, NBTI (10 µM), the pannexin-blocking peptide 10panx (200 µM), and the scrambled control peptide 10panxScr (200 µM). Each bar represents data obtained in three to 14 independent experiments using cell lines from different
donors. Significant difference versus unstimulated control: *p<0.05. Significant difference versus NaCl control: ●p<0.05.
