Figure 1 of Li, Mol Vis 2018; 24:485-494.


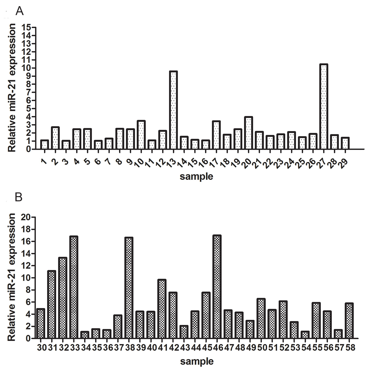
Figure 1. The expression of miR-21 in human pterygium tissues from 58 patients. A and B: These pterygium tissues exhibited significantly higher expression of miR-21 compared to the control.