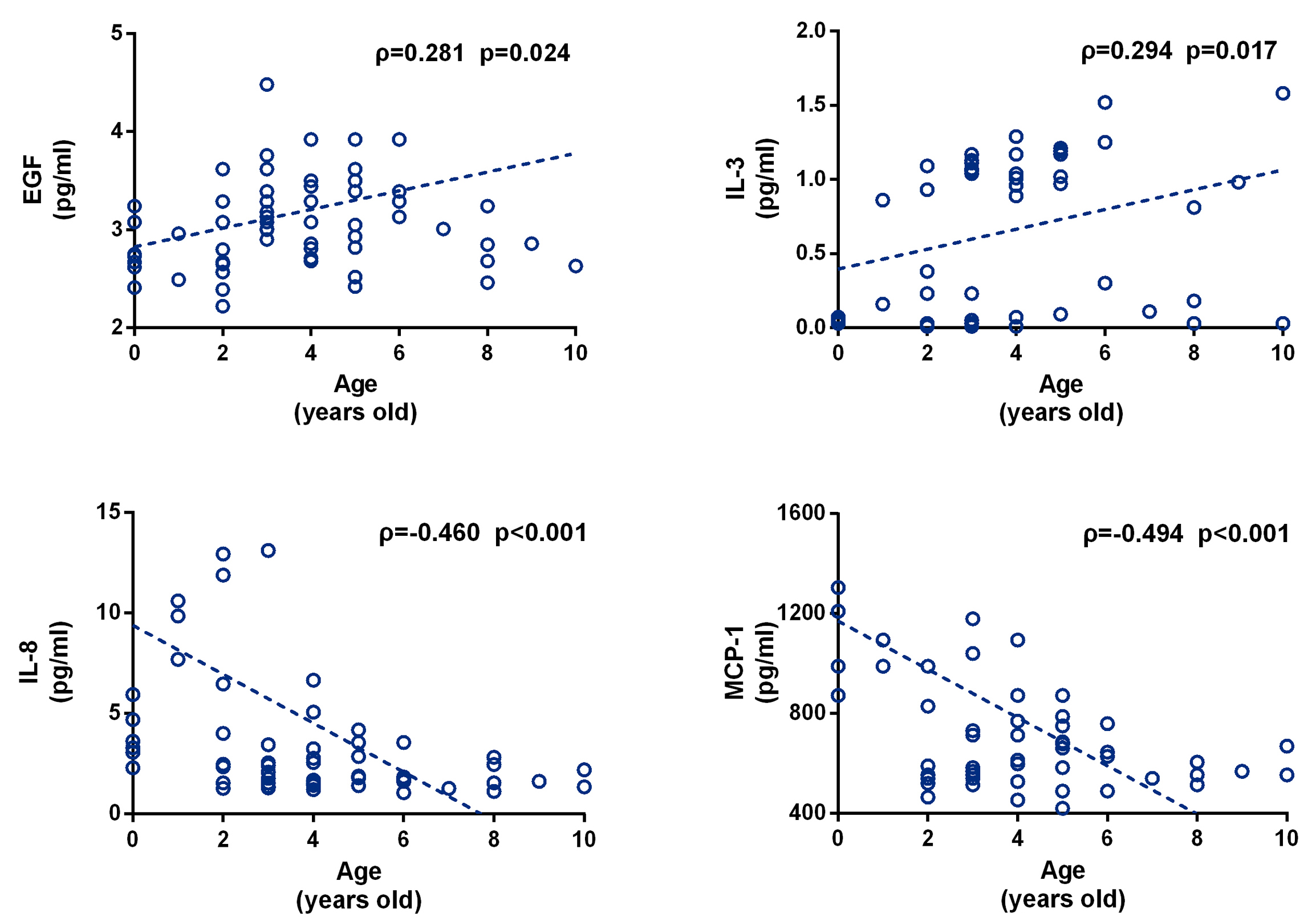
Figure 1. Correlation of inflammatory factors with age. The Spearman correlation test showed that the levels of EGF and IL-3 had statistically
significant positive correlations with age, while the levels of IL-8 and MCP-1 had statistically significant negative correlations
with age.
