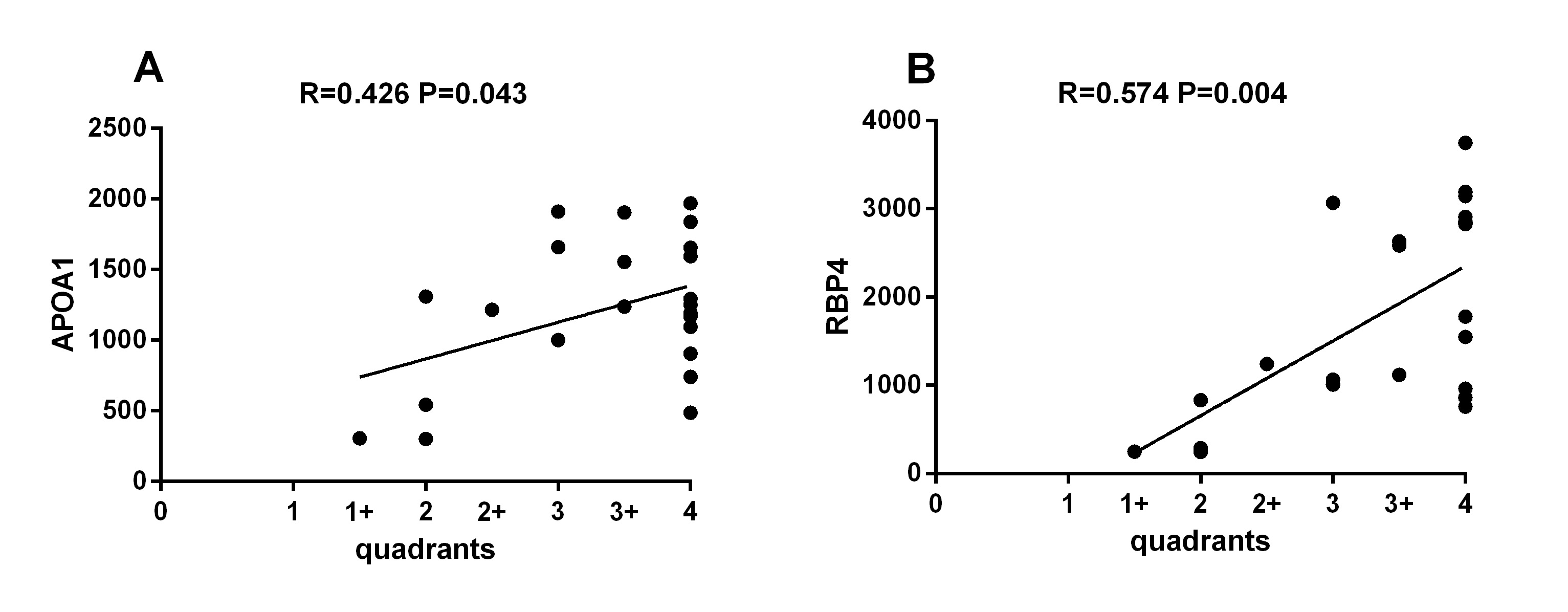
Figure 2 of Ding, Mol Vis 2018; 24:252-260.


Figure 2. The relationship between the concentrations of APOA1 (R=0.426, p=0.043) and RBP4 (R=0.574, p=0.004) in the vitreous and the extent of retinal detachment in patients with RRDCD.