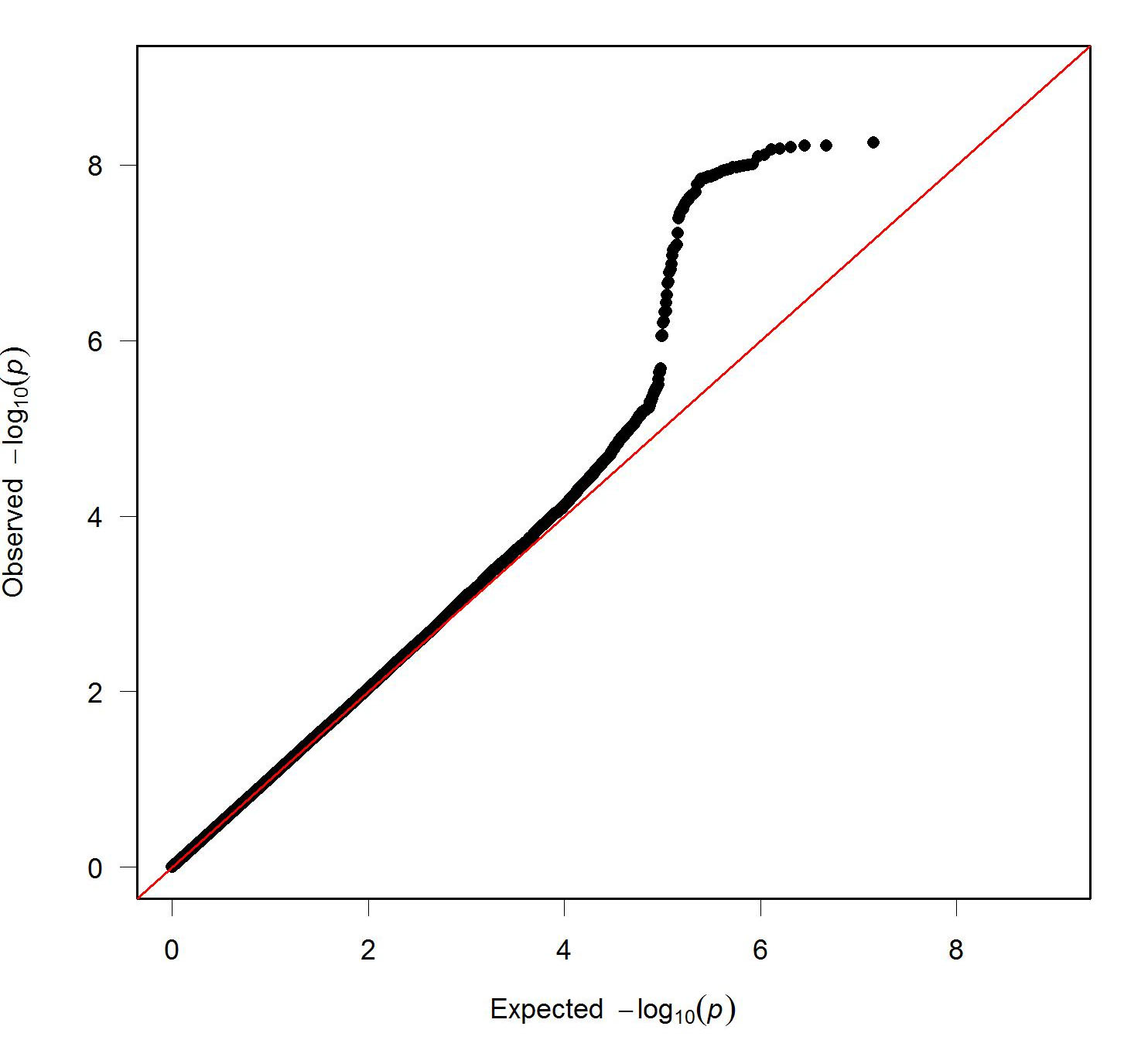
Figure 2 of Shah, Mol Vis 2018; 24:127-142.


Figure 2. Q-Q plot for the GWAS fixed-effects meta-analysis for European and Asian participants of all ages combined (n=31,375).