Figure 2 of Shpak, Mol Vis 2017; 23:799-809.


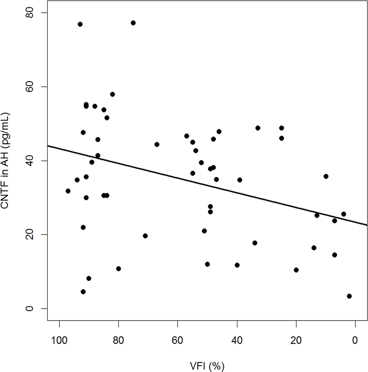
Figure 2. Plot of the CNTF concentration in aqueous humor versus the Humphrey visual field index. The solid line represents the linear regression fit. Note the reversed x-axis.