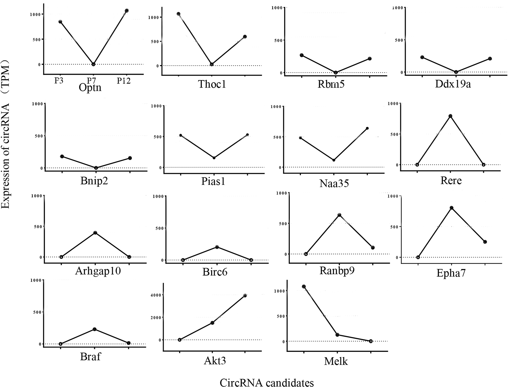
Figure 5. Expression changes in candidate circRNAs derived from apoptosis-related genes during postnatal development in the rat retina.
The number of circular junction reads of a circular RNA (circRNA) was normalized to get the transcripts per million (TPM)
that was used to compare the expression of circRNAs between groups. The TPM is used as the unit of the y-axis. Dotted lines
represent the “y=0” line, and the open circles on the dotted lines mean that the circRNA candidates were not detected.
