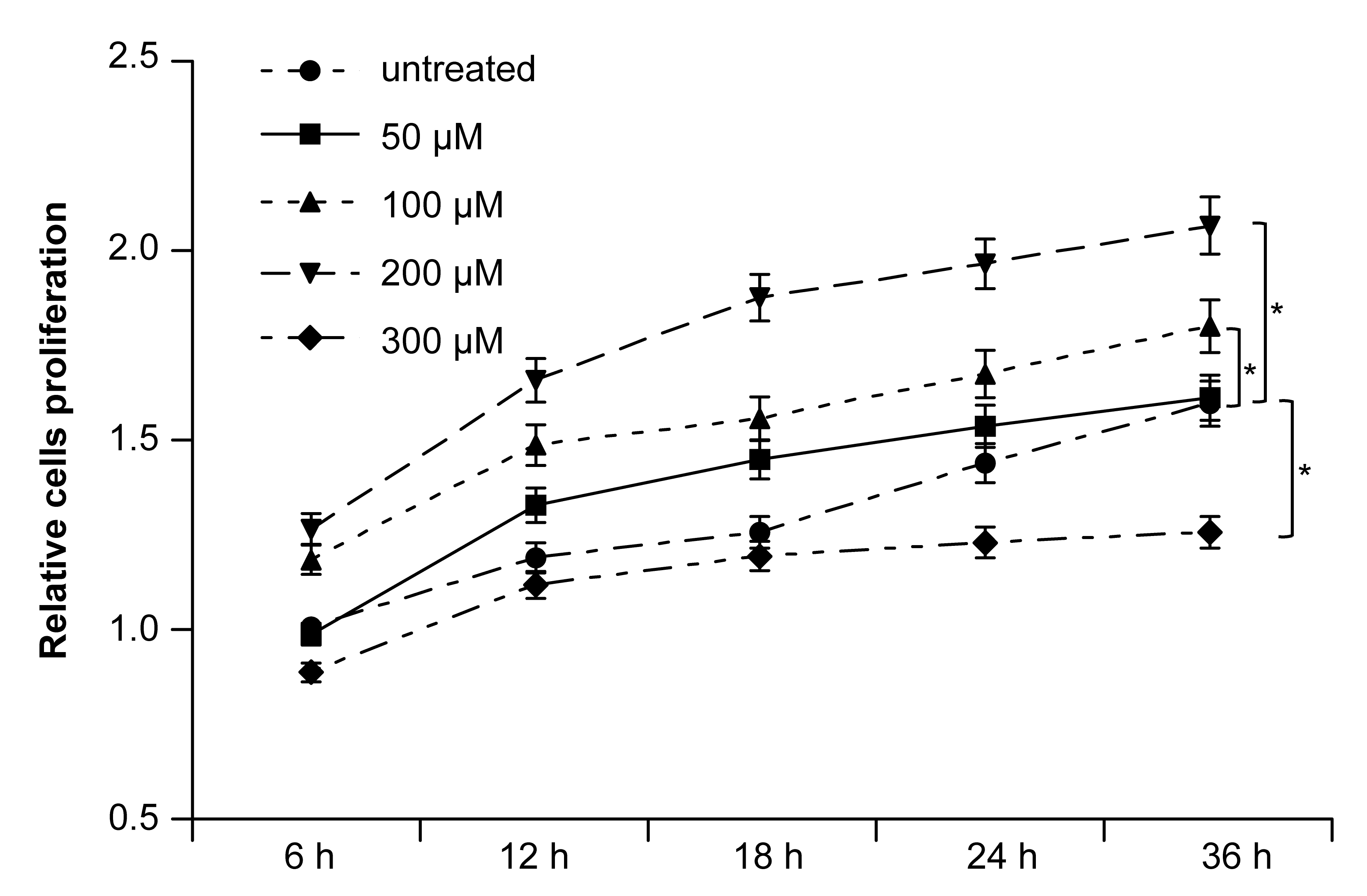
Figure 1 of Wang, Mol Vis 2016; 22:886-897.


Figure 1. Analysis of effect of chemical hypoxia on the proliferation of ARPE-19 cells with MTT assay. The cell proliferation from three independent experiments is expressed as mean ± standard deviation (SD), n = 3.