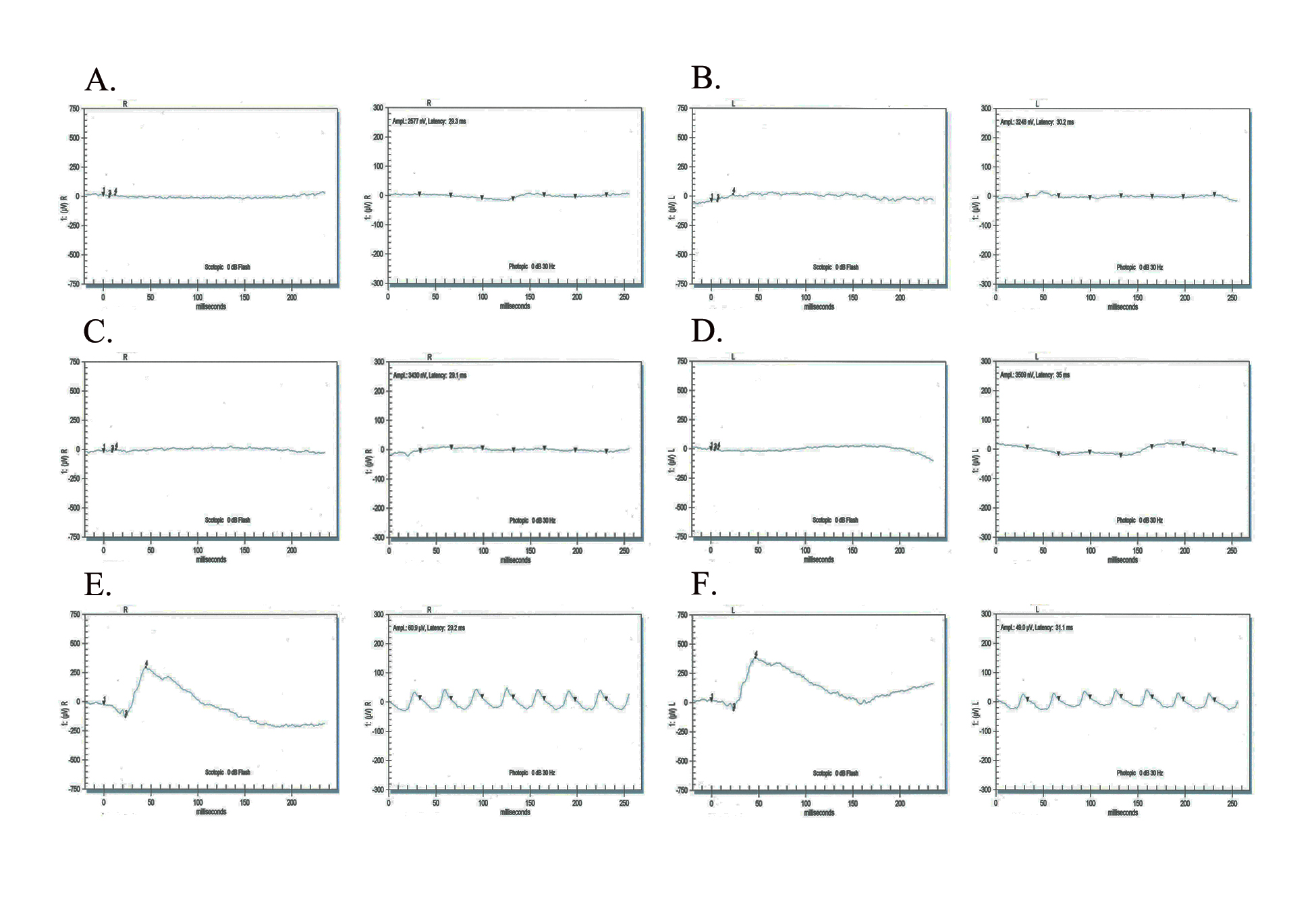
Figure 3. Electroretinography responses of PKRP259 family members. In the stimulus conditions, scotopic 0 dB bright flashes elicit rod
responses (left column of each pair), and a photopic 0 dB, 30 Hz flicker elicits cone responses (right column of each pair).
Responses are of A) OD and B) OS of individual 10 (affected: 30 years); C) OD and D) OS of individual 14 (affected: 25 years); and E) OD and F) OS of individual 8 (unaffected: 52 years). The affected individuals exhibit undetectable electroretinography responses whereas
the unaffected individual exhibits normal a- and b-waves suggestive of normal rod and cone function. OD = oculus dexter; OS
= oculus sinister.
