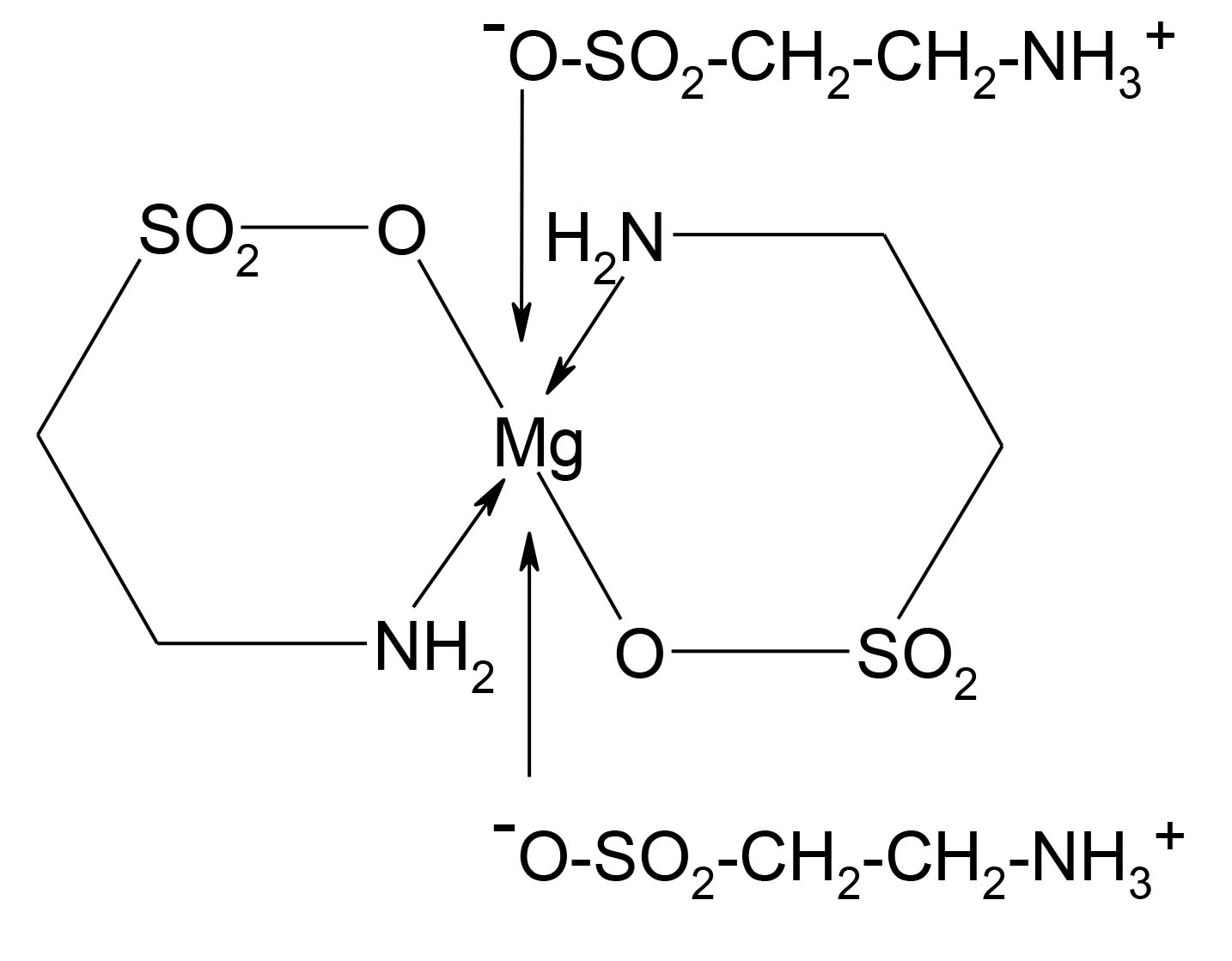
Figure 1 of Iezhitsa, Mol Vis 2016; 22:734-747.


Figure 1. Structural formula of MgT.