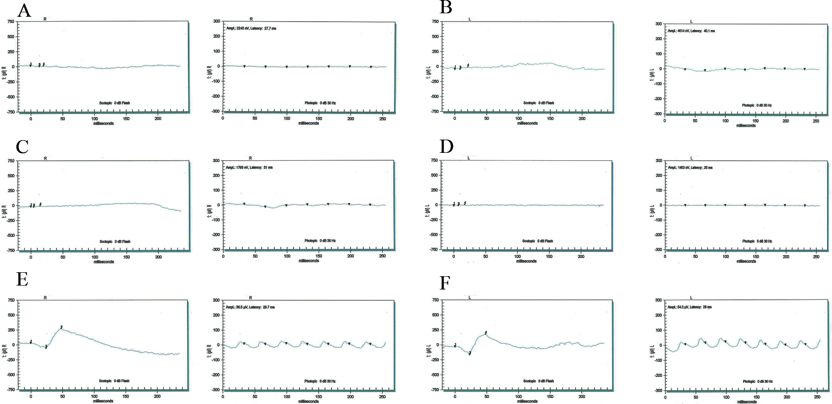
Figure 3. Electroretinography responses of individuals with retinal dystrophy. Stimulus conditions: scotopic 0 dB bright flashes elicit
rod responses (left column of each pair) and photopic 0 dB, 30 Hz flicker elicits cone responses (right column of each pair).
Responses are of A: OD and B: OS: individual 8 (affected, 25 years); C: OD and D: OS: individual 12 (affected, 10 years); E: OD and F: OS: individual 7 (unaffected, 60 years) of PKRP262. Affected individuals exhibit non-detectable electroretinography responses
whereas the unaffected individual exhibits normal a and b waves suggestive of normal rod and cone functions. OD = oculus dexter;
OS = oculus sinister.
