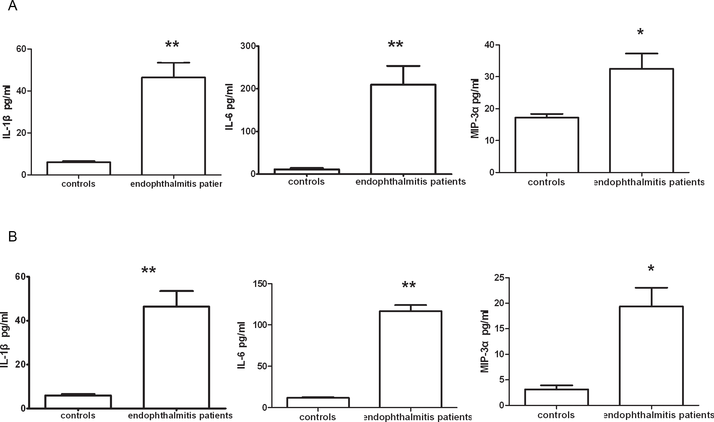
Figure 4. Validation analysis with ELISA of the AH and VH from patients with endophthalmitis (n=15) and healthy controls (n=16). A: The expression of interleukin (IL)-1β, IL-6, and macrophage inflammatory protein (MIP)-3α was significantly upregulated
in the aqueous humor (AH) from patients with endophthalmitis. B: The production of IL-1β, IL-6, and MIP-3α was also elevated in vitreous humor (VH) from the patients compared to the health
control samples. Data are represented as mean±SD *p<0.05, **p<0.001.
