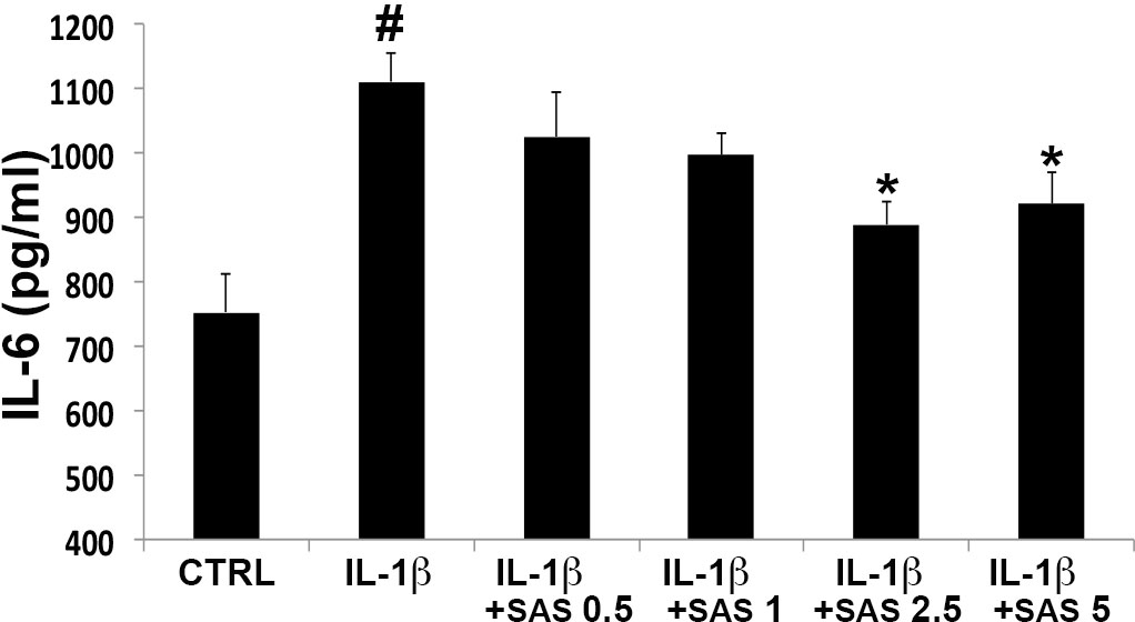
Figure 7. SAS decreases IL-1β-induced protein secretion of IL-6 from ARPE-19 cells. ARPE-19 cells were starved in a serum-free medium
overnight and then incubated for 1 h with 0.5, 1, 2.5, or 5 µg/ml of SAS before the addition of 10 ng/ml of IL-1β. After 48
h, the cell supernatants were collected and analyzed for protein secretion of IL-6 using ELISA. # p<0.01 increase versus control
group, * p<0.05 decrease versus IL-1β group. Results shown are mean ± SEM of 3 independent experiments.
