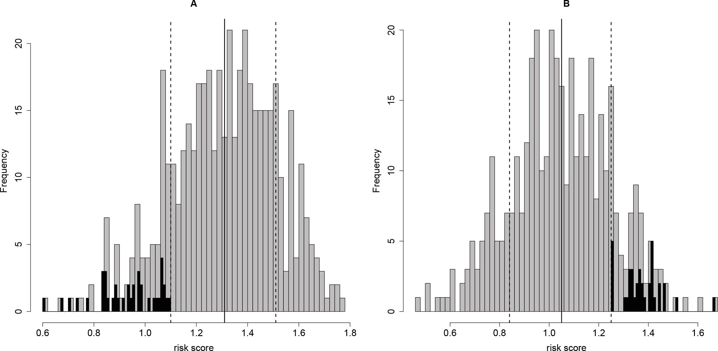
Figure 1. Distribution of risk scores. Distribution of (A) bilateral Grade 5 cases and (B) bilateral Grade 1 controls, showing the mean genetic risk score (solid line) and ±1 standard deviation (dashed lines). Sequenced
individuals are shown with bold bars.
