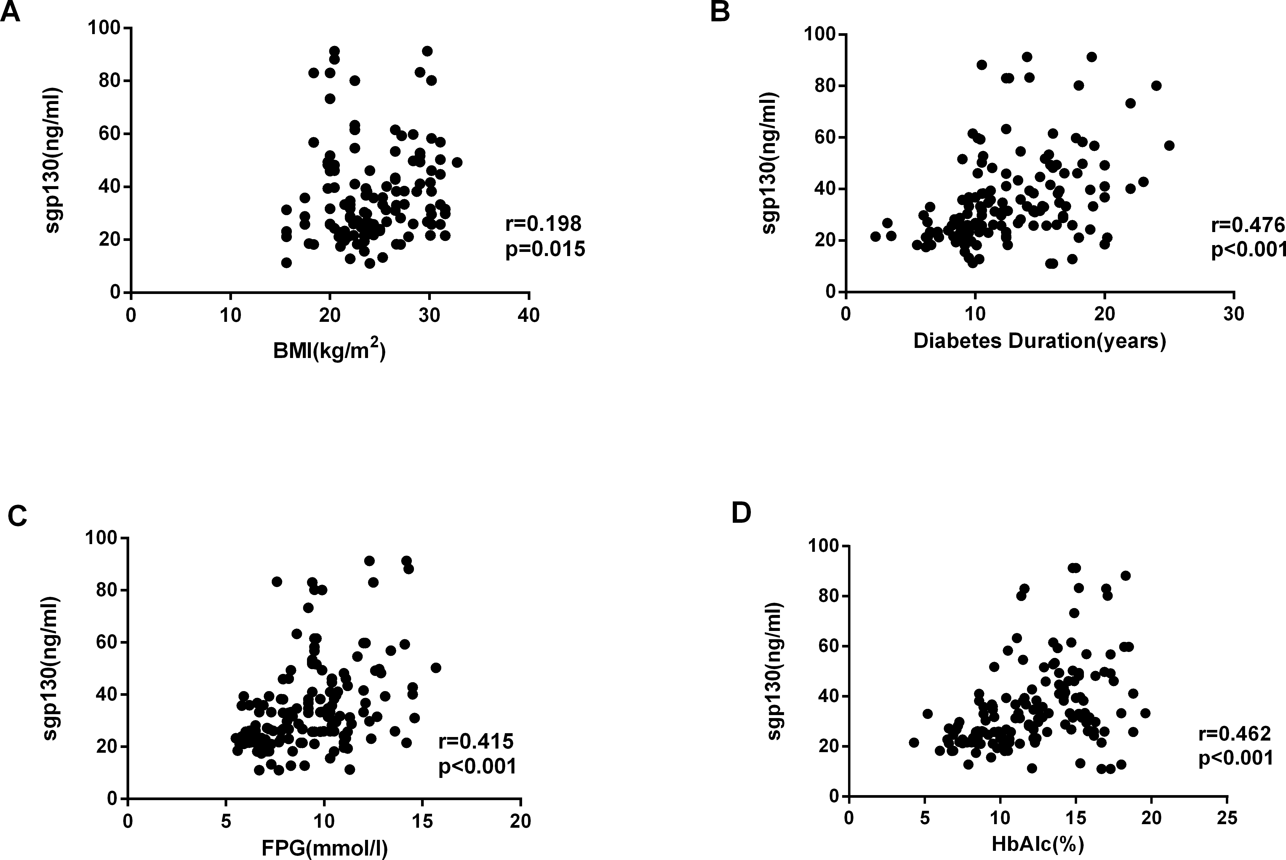
Figure 5. Correlation analysis showed that sgp130 concentrations in AqH were positively correlated with the BMI (r = 0.198, p = 0.015),
duration of diabetes (r = 0.476, p<0.001), FPG (r = 0.415, p<0.001), and HbA1c (r = 0.462, p<0.001) in patients with T2DM.
Data were analyzed by using a Spearman’s rank correlation test.
