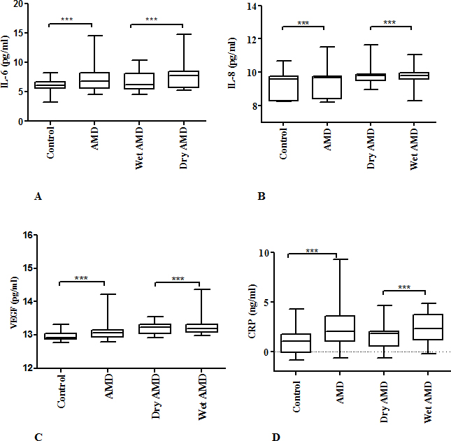
Figure 1. The box-and-whisker plot represents the mean and minimum to maximum range of IL-6, IL-8, VEGF and CRP levels in transformed
data. Serum levels were measured in 100 control subjects and 90 AMD patients. Among AMD patients 63 had wet type and 27 had
dry type AMD. The serum levels of (A) IL-6, (B) IL-8, (C) VEGF and (D) CRP were significantly elevated in AMD patients compared to control subjects (p<0.0001). The levels of (A) IL-6 and (B) IL-8 were significantly elevated in dry AMD patients compared to wet AMD patients. The levels of (C) VEGF and (D) CRP were significantly elevated in wet AMD patients compared to dry AMD patients (p<0.0001).
