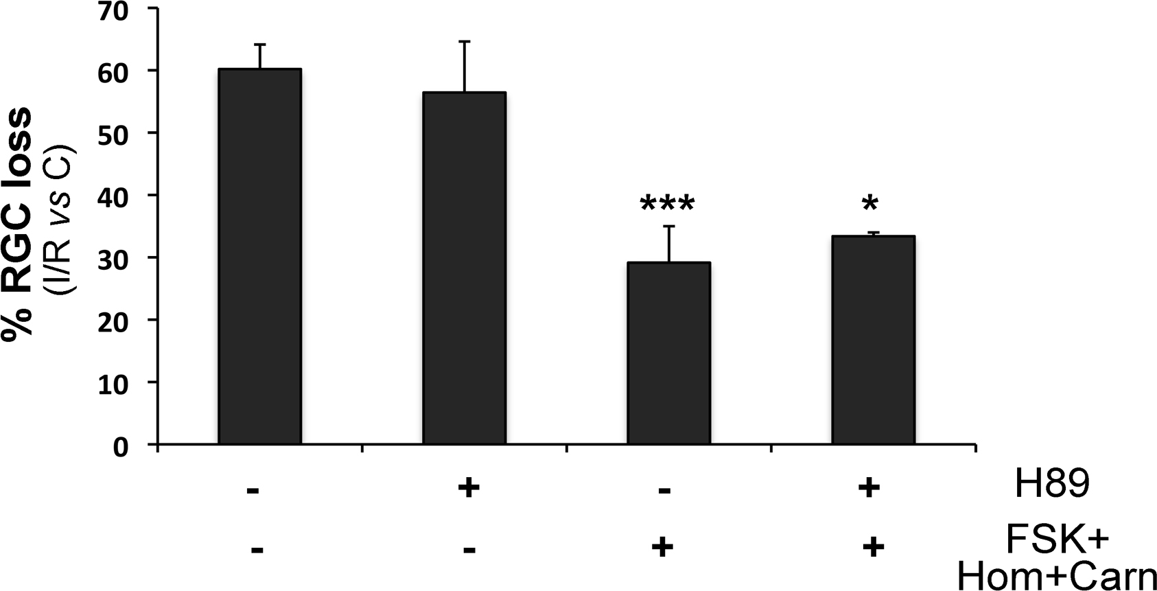
Figure 5. Treatment with a PKA inhibitor did not prevent the neuroprotective effect observed in the ischemic retina following treatment
with forskolin/homotaurine/L-carnosine. Protein kinase A (PKA) inhibitor H89 was given intravitreally 75 min before ischemia
(100 μM; 15 min before administration of the association of drugs). PKA inhibition did not revert the neuroprotection observed
following treatment with the combination of drugs. The histogram shows the results of FluoroGold (FG)-labeled retinal ganglion
cell (RGC) count, performed at 7 days following retinal ischemia, expressed as a percentage of RGC loss compared to control
non-ischemic retina (C). Results are reported as mean ± SEM of three independent experiments (***p<0.001, **p<0.01 versus
vehicle-treated ischemic retinas; ANOVA followed by Tukey-Kramer multiple comparisons test; C: control non-ischemic retina;
I/R: ischemic retina; Hom: homotaurine; Carn: L-carnosine; FSK: forskolin).
