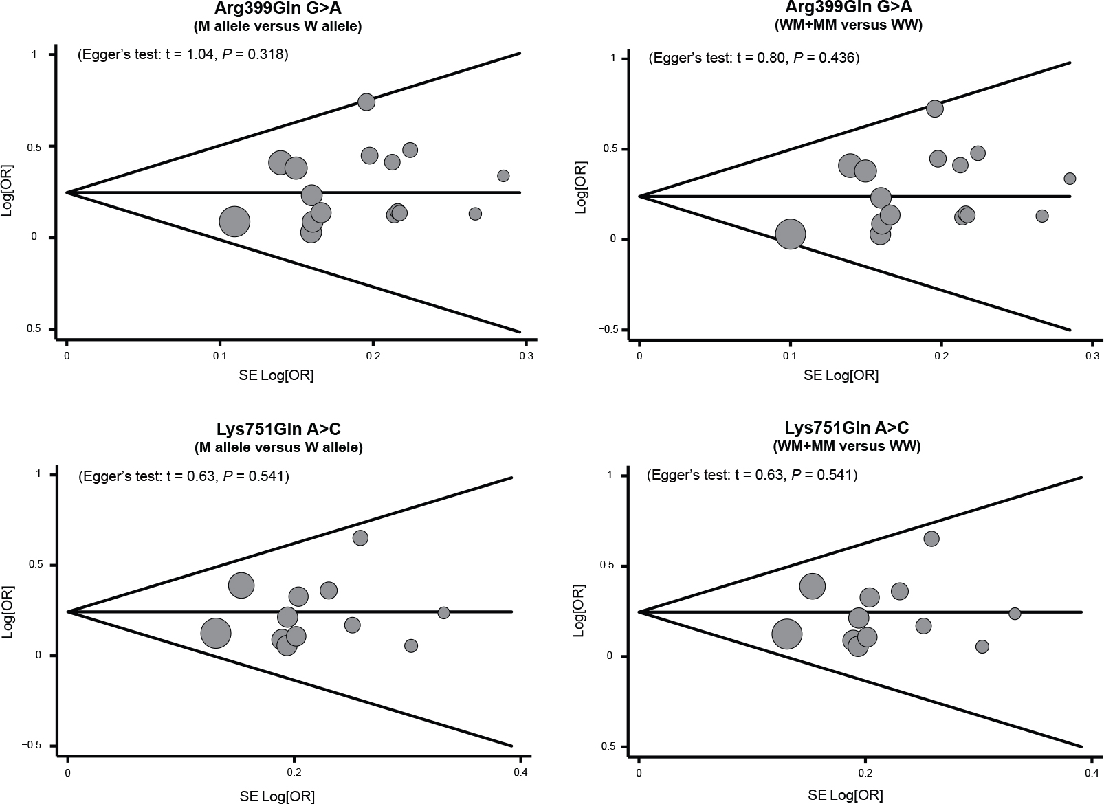
Figure 6 of Chi, Mol Vis 2015; 21:335-346.


Figure 6. Funnel plot of publication biases on the relationships of XRCC1 and XPD SNPs with susceptibility to age-related cataracts under the allele and dominant models.