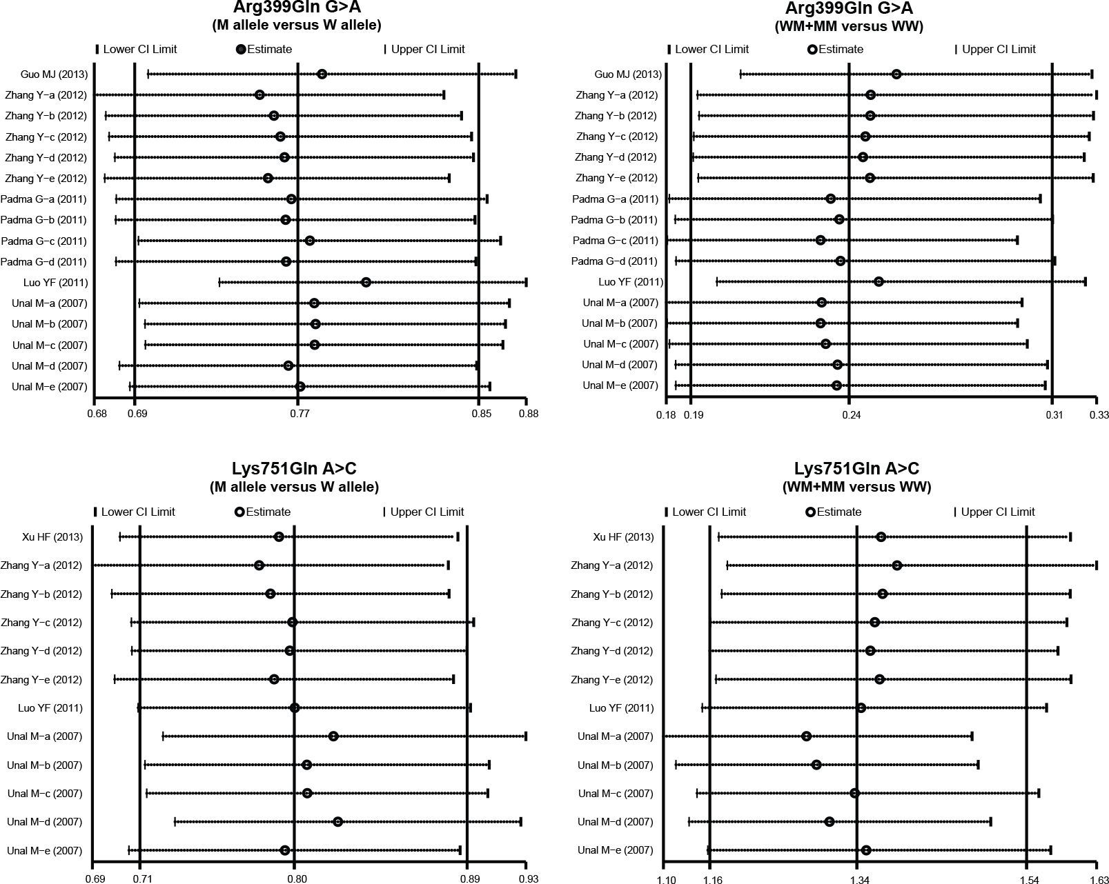
Figure 5 of Chi, Mol Vis 2015; 21:335-346.


Figure 5. Sensitivity analysis of the summary odds ratio coefficients on the relationships of XRCC1 and XPD SNPs with susceptibility to age-related cataract under the allele and dominant models.