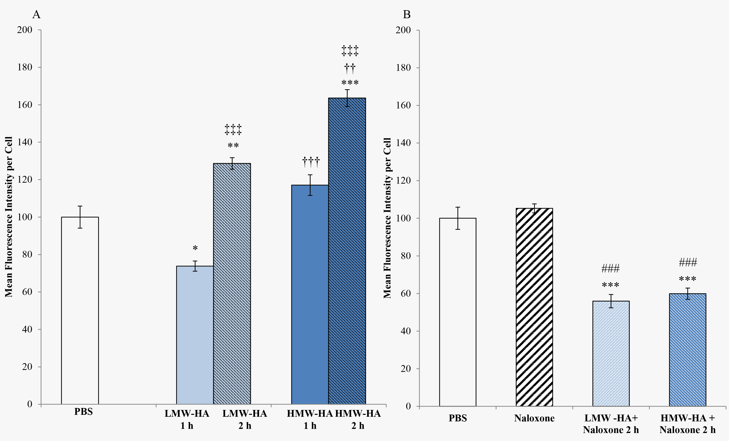
Figure 5. Calcein AM assay of TM cells following treatment with HA and naloxone. A: Trabecular meshwork (TM) cells were treated with the TLR4 agonist low-molecular-weight hyaluronic acid (LMW-HA; 100 ng)
and high-molecular-weight HA (HMW-HA; 100 ng) for 1 and 2 h. B: TM cells were treated with a TLR4 inhibitor naloxone (100 µM) alone or in combination. Error bars are presented as ± standard
error of the mean (SEM), *p<0.05, **p<0.005, ***p<0.0001 with respect to PBS (control), ††p<0.005, †††p<0.00005 comparing
LMW-HA to HMW-HA for each corresponding time point; ‡‡‡p<0.0001 comparing LMW-HA at 1 h to LMW-HA at 2 h or HMW-HA at 1 h
to HMW-HA at 2 h, ###p<0.0001 comparing LMW-HA plus naloxone or HMW-HA plus naloxone to naloxone.
