Figure 4 of Kunst, Mol Vis 2015; 21:173-184.


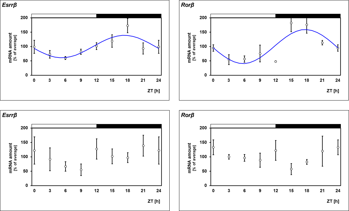
Figure 4. Comparative 24-h profiling of Esrrβ and the reference gene Rorβ in preparations of photoreceptor cells (upper line) and inner retinal neurons (lower line) of rats. The mRNA levels are determined by using quantitative PCR (qPCR), and both are plotted as a function of Zeitgeber time (ZT). The blue lines represent the periodic sinusoidal functions determined with cosinor analysis (only for p<0.05). The solid bars indicate the dark period. Data represent a percentage of the average transcript amount during the 24-h period. The value of ZT0 was plotted twice at ZT0 and ZT24. Each value represents mean ± standard error of the mean (SEM; n=4). Statistical analysis of transcriptional profiling is provided in Table 5. Note that daily variations of Esrrβ are evoked by photoreceptor cells.