Figure 2 of Kunst, Mol Vis 2015; 21:173-184.


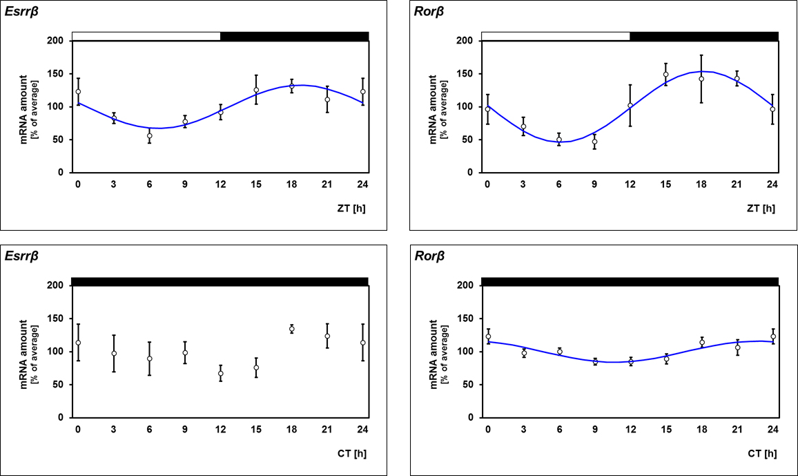
Figure 2. Twenty-four-hour profiling of Esrrβ and the reference gene Rorβ in preparations of whole rat retina under 12 h:12 h light-dark cycles (LD; upper line) or constant darkness (DD; lower line) using qPCR. The mRNA levels are plotted as a function of Zeitgeber time (ZT) and circadian time (CT). The blue lines represent the periodic sinusoidal functions determined with cosinor analysis (only for p<0.05). The solid bars indicate the dark period. Data represent a percentage of the average value of the transcript amount during the 24-h period. The value of ZT0 was plotted twice at ZT0 and ZT24. Each value represents mean ± standard error of the mean (SEM; n=4). Statistical analysis of transcriptional profiling is provided in Table 3. Note that daily rhythmicity of Esrrβ does not persist under DD.